Dear Readers, Bank Exam Race for the Year 2018 is already started, To enrich your preparation here we have providing new series of Practice Questions on Reasoning Ability – Seating Arrangement.Candidates those who are preparing for Dena Bank 2018 Exams can practice these questions daily and make your preparation effective.
[WpProQuiz 2332]
Click “Start Quiz” to attend these Questions and view Solutions
Click here to view Reasoning Questions in Hindi
Directions (1-5): Study the following information carefully and answer the question given below.
Nine persons- Chayan, Babita, Yogi, Fatima, Divya, Gautam, Harsh, Amar and Kamal are sitting in a row facing north. All of them are born in different months of the same year viz., January, March, April, May, June, July, August, September and October but necessarily in the same order.
Chayan and Harsh does not sit at any of the extreme ends of the row. Only one person sits between Chayan and Harsh. Chayan sits to the left of Harsh and Harsh was born in March. The one who was born in the month which was 30 days sits second to the right of Yogi. Yogi sits second from the left end of the row and he was born in the month which has 31 days. The one who was born in July sits immediate right of Yogi. Chayan was not born in January and July. There are two persons sits between the people who were born in March and September. Only one person sits between Fatima and Gautam. Fatima was not born in July. The one who was born in the month has 30 days sits on the extreme right end of the row. Fatima does not sit at any of the extremes ends of the row. The one who sits fourth from the left end of the row was born after Babita. Kamal does not sit second from the right end of the row. Fatima was born in one of the months before Harsh. Babita sits to the left of Gautam. Yogi was not born in October. Babita was born in the month has 31 days. There are three persons sits between Babita and Gautam. Amar sits immediate right of Kamal.
1). Who sits second to the left of Divya?
- Babita
- Fatima
- Chayan
- Harsh
- None of these
2). How many persons sit between Amar and Divya?
- Four
- Two
- One
- Five
- None of these
3). Who was born in April?
- Babita
- Chayan
- Amar
- Divya
- None of these
4). Who among the following sits at extreme ends of the line?
- Divya,Amar
- Yogi,Gautam
- Babita , one who was born in April
- One who was born in September , one who was born in May
- None of these
5). Who among the following sits third to the left of Harsh?
- Divya
- Chayan
- Amar
- Gautam
- None of these
Directions (6-10): Study the following information carefully and answer the question given below.
Eight family members A, B, C, D, E, F, G and H are sitting around the circular table and facing away from centre of the table. They are the fans of different cricket players viz., Dhoni, Sachin, Raina, Watson, Virat, Bravo, Rahul and Harthik but not necessarily in the same order.
C sits second to the right of F’s wife, who is neither the fan of Raina and nor the fan of Harthik. No male is an immediate neighbour of C. H is the brother of B and he is the fan of Harthik. H is not an immediate neighbour of F’s wife. E’s son is the fan of Virat. Only one person sits between G and H. D is the daughter of B, who is not an immediate neighbour of A. The person who is the fan of Watson sits second to the left of the person who is the fan of Raina. F’s sister E sits on the immediate right of her father, who is the fan of Rahul. G is the mother of B, who is a male member in the family. E’s son sits second to the left of H and sits immediate right of the person who is the fan of Dhoni. B sits second to the left of the person who is the fan of Sachin. Only one person sits between F and B.
6). Who is the fan of Sachin?
- D
- A
- Father of D
- B
- None of these
7). What is the position of G with respect to her husband?
- Second to the right
- Third to the right
- Second to the left
- Third to the left
- None of these
8). Who among the following is F’s son?
- A and H
- B and C
- B and H
- H and C
- None of these
9). Who is the fan of G?
- Sachin
- Dhoni
- Bravo
- Harthik
- None of these
10). What is the position of A with respect to C?
- Second to the right
- Second to the left
- Third to the left
- Fourth to the right
- None of these
Answers:
Directions (1-5):
- Yogi sits second from the left end of the row and he was born in the month which has 31 days.
- The one who was born in July sits immediate right of Yogi.
- Chayan was not born in January and July.
- Chayan and Harsh does not sit at any of the extreme ends of the row.
- Only one person sits between Chayan and Harsh.
- Chayan sits to the left of Harsh and Harsh was born in March.
- There are two persons sits between the people who were born in March and September.
Now we can three possibilities.
Case 1:

Case 2:

Case 3:

- Only one person sits between Fatima and Gautam.
- Fatima was not born in July.
- Fatima does not sit at any of the extremes ends of the row.
- Amar sits immediate right of Kamal.
- Kamal does not sits second from the right end of the row.
- Fatima was born in one of the month before Harsh, hence Fatima born on January.
Now Case 2 has two possibilities — case 2(a) and case 2(b)
Case 1:

Case 2(a):

Case 2(b):

Case 3:

- Babita sits to the left of Gautam.
- There are three persons sits between Babita and Gautam.
- Amar sits immediate right of Kamal.
From this condition Case 1 and Case 2 (Case 2(a) &Casec2(b)) are dropped. Case 3 is continued.
Case 3:

- Yogi was born in the month which was 31 days.
- The one who sits on the fourth from the left end of the row was born after Babita.
- The one who was born in the month which was 30 days sits second to the right of Yogi. From this statement Amar should born on a month which has 30 days. i.e. either June or April
- Babita was born in the month of 31 days.
- The one who was born in the month of 30 days sits on the extreme right end of the row. So Dhivya born in either June or April but the one who sits on the fourth from the left end of the row was born after Babita. Hence Babita born in May(31 days). From we can conclude that Amar born on June and Dhivya born on April.
- Yogi was not born in October, hence Yogi born in August and Chayan born on October.
Now the final arrangement becomes

1. Answer b
2.Answer a
3.Answer d
4.Answer c
5.Answer d
Directions (6-10):
- C sits second to the right of F’s wife.
- H is not an immediate neighbour of F’s wife.
- Only one person sits between G and H.
- G is the mother of B.
- H is the brother of B
- E’s son sits second to the left of H
- Now we get two possibilities
Case 1:

- D is the daughter of B.

- F’s sister E sits on the immediate right of her father.
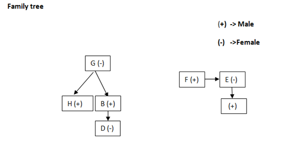
- From the Family tree only 3 females in the family.
- The immediate neighbours of C is females, hence both E and D are the immediate neighbour of C.
- At the same time E sits on the immediate right of her father. So E should sit immediate right of C and D should sit immediate left of C.
- Now we get C is the father of E and F.
- Hence A is the son of E.
- From this condition case 2 is dropped.
Case 1:

- E’s son sits immediate right of the person who is the fan of Dhoni. From this statement E is the fan of Dhoni.
- E’s father is the fan of Rahul, hence C is the fan of Rahul.
- E’s son is the fan of Virat.
- H is the brother of B and he is the fan of Harthik.
- Only one person sits between F and B.
- The person who is the fan of Watson is sits the second to the left of the person who is the fan of Raina.
- B sits second to the left of the person who is the fan of Sachin.
- B should sits between G and H , then only it satisfies the above three statements.
- Now the final arrangement becomes:

6. Answer a
- Answer b
- Answer c
- Answer c
- Answer a
Daily Practice Test Schedule | Good Luck
| Topic | Daily Publishing Time |
| Daily News Papers & Editorials | 8.00 AM |
| Current Affairs Quiz | 9.00 AM |
| Quantitative Aptitude “20-20” | 11.00 AM |
| Vocabulary (Based on The Hindu) | 12.00 PM |
| General Awareness “20-20” | 1.00 PM |
| English Language “20-20” | 2.00 PM |
| Reasoning Puzzles & Seating | 4.00 PM |
| Daily Current Affairs Updates | 5.00 PM |
| Data Interpretation / Application Sums (Topic Wise) | 6.00 PM |
| Reasoning Ability “20-20” | 7.00 PM |
| English Language (New Pattern Questions) | 8.00 PM |
Click Here for More Practice Puzzles and Seating Arrangement Questions

