Dear Aspirants, Our IBPS Guide team is providing new pattern Reasoning Questions for IBPS Clerk Mains 2019 so the aspirants can practice it on a daily basis. These questions are framed by our skilled experts after understanding your needs thoroughly. Aspirants can practice these new series questions daily to familiarize with the exact exam pattern and make your preparation effective.
“Ensure Your Ability Before of Exam “
Take IBPS Clerk Free Mock Test 2019 – Start Now
[WpProQuiz 7353]
Puzzles
(Directions 1–4): Study the following information carefully and answer the questions given below it.
Seven persons namely – Ram, Jay, Deep, Shiv, Anup, Ajay and Guru visits different place viz. Delhi, Pune, Chennai, Patna, Jaipur, Varanasi and Ranchi from Monday to Sunday. Each of them has different laptop viz. Lenovo, Asus, HP, Dell, Acer, Sony and Apple. All the above given information is not necessary in same order.
There were three days gap between the one who has Acer and the one who visits Ranchi. The one, who visits Delhi, visits on any day after Friday. There were two days gap between the one, who have Dell and Ajay who visits Delhi. There were three days gap between Shiv and the one who visits Chennai. One person visits between the one who visits Ranchi and Deep, who has Lenovo. The one, who visits Jaipur, visits on adjacent day of the one who has Sony. At least three person visits between the one, who visits Patna and the one, who has Apple. There were two days gap between Guru and the one who likes Asus, who visits on adjacent day of the one who has Dell. Deep neither visits on adjacent day of the one has Dell nor on adjacent day of Ajay. Ram visits Pune on Tuesday. Guru neither has Acer nor visits before the one who visits Jaipur and visits Varanasi. Shiv and the one who has HP, visits the cities on adjacent days. Neither Shiv nor Jay visits Chennai. There were two days gap between Ram and the one who has Sony.
1) How many person visits after the one who visits Ranchi?
a) Two
b) Three
c) One
d) Five
e) None of these
2) Who visits just before the one who has Asus?
a) Guru
b) Deep
c) Shiv
d) Ajay
e) None of these
3) Which of the following combination is true?
a) Ram – Pune – Tuesday – Dell
b) Jay – Thursday – HP – Varanasi
c) Ajay – Delhi – Saturday – Apple
d) Guru – Sony – Sunday – Sony
e) All the given combination is not true.
4) How many person visits between the one, who visits Patna and the one, who has Dell laptop?
a) Four
b) One
c) Two
d) Five
e) None of these
Input-Output
(Directions 5–8): A string of numbers is given as input. The further steps given are obtained by applying certain logic. Each step is a resultant of previous step only. Study the following information carefully and answer the questions given below it.

As per above applied logic in above steps, find appropriate step for given input:

5) What will be the difference of highest to lowest number in step II?
a) 21
b) 28
c) 39
d) 32
e) None of these
6) What will be the difference of square of digits of lowest number in step III?
a) 15
b) 55
c) 21
d) 9
e) None of these
7) What will be the sum of digits of all numbers in step I?
a) 54
b) 23
c) 46
d) 28
e) None of these
8) Which of the following is the final output in step IV?
a) 45
b) 36
c) 74
d) 81
e) None of these
Data Sufficiency
Directions (9-10): Each of the questions below consists of a question and two statements numbered I and II given below it. You have to decide whether the data provided in the statements are sufficient to answer the question:
a) If the data in Statement I alone is sufficient to answer the question, while the data in Statement II alone is not sufficient to answer the question.
b) If the data in Statement II alone is sufficient to answer the question, while the data in Statement I alone is not sufficient to answer the question.
c) If the data either in Statement I alone or in Statement II alone is sufficient to answer the question.
d)If the data in both the Statements I and II together are not sufficient to answer the question.
e) If the data in both the Statements I and II together are necessary to answer the question.
9) Eight friends namely – P, Q, R, S, T, U, V and W are sitting in a row facing north. Only two people sit between W and T, who sits at end of the row. U sits second to right of W, who doesn’t sit adjacent of T. Only three people sit between P and U. How many person sits right of S?
I) Only two people sit between Q and R. V doesn’t sit adjacent to U.
II) Only three people sit between V and S, who sits adjacent to R.
10) In a code language “Ride Road Best Possible Trip” is coded as “na gz he je ld”, then how “Trip” is coded in same code language?
I) “Nature Beauty Best View Ride” is coded as “xt wm zd he je” and “Bring Ride View Nature Trip” is coded as “bg zd gz wm je”.
II) “Bring Same Possible Ride Trip” is coded as “pt bg gz ld je” and “Nature Ride Best Possible View” is coded as “wm je ld he zd”.
Answers :
Directions (1-4) :

We have:
- The one, who visits Delhi, visits on any day after Friday, that means we have two possible day for the one who visits Delhi, in case (1) the one who visits Delhi, visits on Saturday, in case (2) the one who visits Delhi, visits on Sunday.
- There were two days gap between the one, who have Dell and Ajay who visits Delhi.
- Ram visits Pune on Tuesday.
- There were two days gap between Ram and the one who has Sony.
- The one, who visits Jaipur, visits on adjacent day of the one who has Sony, that means we have three possible day for the one who visits Jaipur, in case (1) & case (2a) the one who visits Jaipur visits on Thursday, in case (2b) the one who visits Jaipur visits on Saturday.
Based on above given information we have:

Again, we have:
- Deep neither visits on adjacent day of the one has Dell nor on adjacent day of Ajay.
- One person visits between the one who visits Ranchi and Deep, who has Lenovo, that means Deep visits on Monday.
- There were three days gap between the one who has Acer and the one who visits Ranchi.
- Guru neither has Acer nor he visits before the one who visits Jaipur and visits Varanasi.
- There were two days gap between Guru and the one who likes Asus, who visits on adjacent day of the one who has Dell, that means case (2b) is not valid, in case (1) Guru visits on Friday, in case (2a) Guru visits on Saturday.
Based on above given information we have:

Case (2b) is not valid as Guru doesn’t visit before the one who visits Jaipur.
Again, we have:
- The one who has HP and Shiv visits on adjacent days.
- There were three days gap between Shiv and the one who visits Chennai, that means in case (1) Shiv visits on Wednesday, in case (2) Shiv visits on Friday.
- Neither Shiv nor Jay visits Chennai, that means in case (1) Jay visits Jaipur.
- At least three person visits between the one, who visits Patna and the one, who has Apple, that means case (2a) is not valid.
Based on above given information we have final arrangement we have:

1) Answer: E
Clearly, four person visits after the one who visits Ranchi.
Hence, option E is correct choice.
2) Answer: B
Clearly, Deep visits just before the one who has Asus.
Hence, option B is correct choice.
3) Answer: C
Clearly, “Ajay – Delhi – Saturday – Apple” is correct.
Hence, option C is correct choice.
4) Answer: B
Clearly, one person visits between the one, who visits Patna and the one, who has Dell laptop.
Hence, option B is correct choice
Directions (5-8) :
We have:

Step I: In this step following logic is applied:

Clearly, result in step I can be determined by resultant of above results.
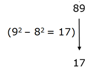
Result = (113 – 24) = 89
Step II: In this step following logic is applied:

Clearly, in step II result can be determined by difference of square of digits.
Step III: In this step following logic is applied:

Clearly, result in step III can be determined by difference of results.
Result = (42 – 5) = 37
Step IV: In this step following logic is applied:

Clearly, result in step IV can be determined by difference of results.
Thus, final output is,
Result = (58– 53) = 05
From above logical steps we get following results for given input:

5) Answer: C
Clearly, difference of highest to lowest number = (56 – 17) = 39
Hence, option C is correct choice.
6) Answer: A
Clearly, lowest number in step III = 14
Thus, required difference = (16 – 1) = 15
Hence, option A is correct choice.
7) Answer: C
Clearly, required sum = (2 + 7 + 8 + 9 + 5 + 9 + 5 + 1) = 46
Hence, option C is correct choice.
8) Answer: E
Clearly, desired output in step IV = 07
Hence, option E is correct choice.
Directions (9-10) :
9) Answer: C
We have:
- Only two people sit between W and T, who sits at end of the row.
- U sits second to right of W, who doesn’t sit adjacent of T, that means T sits at extreme left end.
- Only three people sits between P and U, that means P sits immediate right of P.
Based on above given information we have:

From I:
We have:
- Only two people sit between Q and R.
- V doesn’t sit adjacent to U, that means V sits immediate left of W.
Based on above given information we have:

Clearly, only one person sits right of S.
Hence, statement I alone is sufficient.
From II:
We have:
- Only three people sits between V and S, who sits adjacent to R, that means S sits second from right end.
Based on above given information we have:

Clearly, only one person sits right of S.
Hence, statement II alone is sufficient.
Hence, option C is correct choice.
10) Answer: A
From I:
We have:
“Ride Road Best Possible Trip” ——– “na gz he je ld”.
“Nature Beauty Best View Ride” ——– “xt wm zd he je”.
“Bring Ride View Nature Trip” ——– “bg zd gz wm je”.
From above given statements we have:
Ride -> je
Nature/View -> zd/wm (not necessary in same order)
Best -> he
Beauty -> xt
Road/Possible > na/ld (not necessary in same order)
Trip -> gz
Bring -> bg
Clearly, code of ‘Trip’ is ‘gz’.
Hence, statement I alone is sufficient.
From II:
We have:
“Ride Road Best Possible Trip” ——– “na gz he je ld”.
“Bring Same Possible Ride Trip” ——– “pt bg gz ld je”.
“Nature Ride Best Road View” ——– “wm je na he zd”.
From above given statement we have:
Ride -> je
Best/Road -> na/he (not necessary in same order)
Bring/Same -> bg/pt (not necessary in same order)
Nature/View -> zd/wm (not necessary in same order)
Possible/Trip -> ld/gz (not necessary in same order)
Clearly, code of ‘Trip’ can’t be determined.
Hence, statement II is not sufficient alone.
Hence, option A is correct choice.

