Dear Aspirants, Here we have given the Important RRB ALP & Technicians Exam 2018 Practice Test Papers. Candidates those who are preparing for RRB ALP 2018 can practice these Arithmetic Questions to get more confidence to Crack RRB 2018 Examination.
[WpProQuiz 2648]
Click “Start Quiz” to attend these Questions and view Explanation
- If 1 man or 2 Women or 3 Children can do a piece of work in 2 days, then the same piece of work will be done by 1 man and 1 woman and 1 child
- 16 days
- 6/7 days
- 12/11 days
- 8 days
- A man can row a Boat 16 km in 2 hours downstream and returns upstream in 4 hours. The speed of the Stream is
- 4 kmph
- 2 kmph
- 2.5 kmph
- 3 kmph
- if p,q,r are in Geometric Progression, then which of the following is true?
- q = (p+r)/2
- p2 =qr
- q = √pr
- p/r=r/q
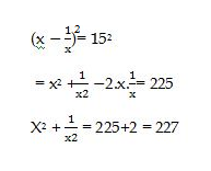
- If (x – 1)/x = 15, then x2 + 1/x2 is
- 225
- 222
- 227
- 220
- Find the Value of
tan 5°. tan 44°. tan 46°. tan 85°
- 1
- 0
- 2
- 3
- The length of the diagonal of a Square is ‘a’cm. Which of the following represents the area of the square?
- 2a
- a2/2
- a/ √2
- 4a
- 9x2 +25 – 30x can be expressed as the Square of
- −3x – 5
- 3x + 5
- 3x2 – 25
- 3x – 5
- A 250Meter long train is moving at 10kmph. It will cross a man standing on the platform in
- 3 min
- 1 min
- 1.5 min
- 2 mins
- Simplify
600 + 45% of 50 – x = 75% of 800 + √169
- 8.5
- 7.5
- 6.5
- 5.5
- In a vessel contains Milk and water in the ratio of 5:3. How much more water to be added so that the milk and water ratio will be 2:3?
- 3
- 3.5
- 4
- 4.5
Answers:
1.Answer: C
1M = 2W = 3C
1M = 3C
1W = 3/2C
1M+1W+1C = 3C + 3/2C+1C = 11/2 C
3C è 2 Days
11/2 è ?
(3×2×2) / 11 = 12/11 days
2.Answer: B
Downstream speed= 16/2 = 8kmph
Upstream speed= 16/4= 4kmph
Speed of the stream = (x-y)/2 = (8 – 4)/2 = 4/2 = 2 kmph
3.Answer: C
∴ q/p = r/ q
⇒ q2 = pr
⇒ q = √pr
4.Answer: C

5.Answer: A
tan 5°.tan 44°. tan (90° – 44°). tan (90° – 5°)
= tan 5° ⨯tan 44°⨯ cot 44°⨯ cot 5°
= tan 5°⨯cot 5° ⨯ cot 44° ⨯ tan 44° = 1 [tanθ.cotθ = 1]
6.Answer: B

7.Answer: d
9x2 – 30x +25
=9x2 – 15x – 15x + 25
=3x (3x – 5) – 5(3x – 5)
= (3x – 5)2
8.Answer: C
Speed = 10 × 5/18 = 50/18
Time = Distance / speed
= (250 ×18)/50 = 90 sec
= 1.5mins
9.Answer: B
600+22.5 – x = 600+13
622.5 – x= 613
X = 622.5 – 613
X= 9.5
10.Answer: D
5/(3+x) = 2/3
15= 6+2x
2x= 9
X= 4.5
RRB ALP 2018 – “All in One” Study Materials and Practice Sets

