Dear Aspirants, Here we have given the Important RRB ALP & Technicians Exam 2018 Practice Test Papers. Candidates those who are preparing for RRB ALP 2018 can practice these Arithmetic Questions to get more confidence to Crack RRB 2018 Examination.
[WpProQuiz 2767]
Click “Start Quiz” to attend these Questions and view Solutions
1). Simplify
529÷23 × 391 ÷17 ÷23
- 529
- 391
- 17
- 23
2). 16 Men can do a piece of work in 20 days. 20 women can do a piece of work in 10 days. If both they work together the work will finish in how many days?
- 2 days
- 3/4 days
- 6 2/ 3 days
- 10/3 days
3). A dishonest shopkeeper marked his goods price at 20 % profit and also he reduced 10 % of the quantity of product’s net weight. Finally how much % he gained?
- 16%
- 35 %
- c.33 1/3%
- 47%
4). Find the value of x
70% of 30 % of 60% of x = 126× 3
- 1000
- 5000
- 3000
- 2000
5). Area of Square is 16cm2. Find the Diagonal of the Square?
- 2
- 16
- 4√2
- 2√2
6). Age of A is twice as C, thrice as B. Total ages of A, B & C = 44. Find the A’s Age?
- 20
- 8
- 24
- 28
7). Area of Triangle is 48, what is the height of the triangle is the base of the triangle is 6 cm?
- 6 cm
- 16 cm
- 8 cm
- 12 cm
8). Find the value of x
(Sin30°. Tan 45°)/(cot 45° . cos x) = 1
- 30°
- 60°
- 45°
- 0°
9). Average of 11 observations is 16. Average of first 4 observations is 16, Last 5 observation is 18. Find the average value of rest of the numbers?
- 10
- 16
- 11
- 19
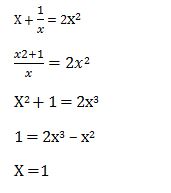
10). A number added with its reciprocal is equal to the double the square value of same number. Find the Number.
- 4
- 2
- 1
- 0
Answers:
1). Answer: D
529 ×1/23 ×391 ×1/17 ×1/23 = 23
2). Answer: C
Given
16 Men ——- 20 days
20 women —- 10 days
16 M + 20 W = ?
16 * 20 M= 20 * 10 W
8 M = 5 W => M = 5/8 W
16 (5/8) + 20 W = ?
=>10 W + 20 W = 30 W
20 W ——- 10 days
30 W ——— ?
20×10/30 = 20/3 days=6 2/3
3). Answer: C
Let us consider CP of 100 g is Rs.100
Selling price at 20% profit= Rs. 120
Dishonest seller sells 90% of it, So CP in this transaction is Rs.90
Profit %= (120-90)/90×100=30/90×100=33 1/3%
4). Answer: C
(70/100) × (30/100) × (60/100) x = 126 × 3
X = 3000
5). Answer: C
Diagonal of a Square is = √2 a
Area = a2 = 16
Side = 4 cm
Diagonal = 4√2
6). Answer: C
A : B : C
6 : 2 : 3
(44 × 6) / 11 = 24
7). Answer: b
Area of Triangle = 1/2 × Base ×Height
48 = 1/2 × 6 × Height
H = 16cm
8). Answer: B

9). Answer: C
Total value = 11 ×16 = 154
Sum of first 4 value = 4 × 16 = 64
Sum of next 5 numbers = 5 ×18 = 90
Sum of those 9 value is = 64 + 90 = 154
Sum of Rest of the value = 176 – 154 = 22
Averages = 22 /2 = 11
10). Answer: C

RRB ALP 2018 – “All in One” Study Materials and Practice Sets

