Dear Aspirants, Here we have given the Important RRB ALP & Technicians Exam 2018 Practice Test Papers. Candidates those who are preparing for RRB ALP 2018 can practice these Arithmetic Questions to get more confidence to Crack RRB 2018 Examination.
[WpProQuiz 2912]Click “Start Quiz” to attend these Questions and view Solutions
1) Anita and Aishu have some chocolate in ratio of 4:3. Anita gives 3 chocolate to Aishu then the ratio will become equal. How many chocolates Anita have initially?
a) 22
b) 24
c) 26
d) 30
2) Average age of a family consists of 4 members was 42 before 3 years. Now the family has 5 members so as the average age is increased by 1. What is the age of new member?
a) 30
b) 25
c) 35
d) 40
3) 225÷15÷5÷3 =?
a) 100
b) 20
c) 1
d) 10
4) A fraction is added with its reciprocal gives five times of same fraction. Find the fractional value
a) 1/2
b) 1/3
c) 2/3
d) 4/5
5) 95÷5 × 85÷ 5 + 30%of 560 + 32 =?
a) 100
b) 250
c) 500
d) 1000
6) Find the missing number
67.5 22.5 9 4.5 3 ? 6
a) 2
b) 1.5
c) 3
d) 1
7) A student got 56% of marks in his examination out of total marks is 500. What the total marks secured by him.
a) 140
b) 160
c) 280
d) 200
8) 8 ½ + 2 ¾ + 3 ½ = x + 4 ½ + 6 ¾ = ?
a) 1 ½
b) 2 ½
c) 3 ½
d) 4 ½
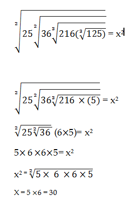
9)

a) 320
b) 420
c) 410
d) 100
Answers :
1). Answer: b)
No. of chocolates = 4x, 3x

4x – 3 = 3x + 3
4x – 3x = 3 +3 = 6
X = 6
Anita has 24 chocolates initially
2). Answer: c)
Sum of their ages before 3 years = 42×4 = 168
Sum of their ages in present = 168 + (4×3) = 168+12 = 180
Sum of their ages including new person = 5×43 = 215
Age of New member = 215 – 180 = 35
3). Answer: c)
225 × 1/15 × 1/5 × 1/ 3 =1
4). Answer: a)

5). Answer: c)

6). Answer: c)
67.5 ÷3 = 22.5
22.5 ÷ 2.5 = 9
9 ÷ 2 = 4.5
4.5 ÷ 1.5 = 3
3÷1 = 3
3 ÷ 0.5 = 6
7). Answer: c)
= 280
8). Answer: c)
8 + 2 + 3 – 4 – 6 (½ + ¾ + ½ – ½ – ¾)
= 3 ½
9). Answer: c)

RRB ALP 2018 – “All in One” Study Materials and Practice Sets

