Dear Aspirants, Here we have given the Important SSC Exam 2018 Practice Test Papers. Candidates those who are preparing for SSC 2018 can practice these questions to get more confidence to Crack SSC 2018 Examination.
[WpProQuiz 4187]Click here to view Quantitative Aptitude Questions in English
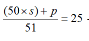
1)50 छात्रों और प्रिंसिपल की औसत आयु 25 वर्ष है। जब प्रिंसिपल की आयु को बाहर रखा जाता है, तो औसत आयु 1 वर्ष कम हो जाती है। प्रिंसिपल की आयु (वर्षों में) क्या है?
a) 65
b) 75
c) 74
d) आकड़े अपर्याप्त हैं
2) दूध और पानी के 30 लीटर मिश्रण में 7: 3 के अनुपात में दूध और पानी है और कितने लीटर पानी डाला जाना चाहिए ताकि परिणामी मिश्रण में 50% पानी हो?
a) 12 लीटर
b) 13 लीटर
c) 14 लीटर
d) 15 लीटर
3) चाय की कीमत 25% कम हो गई है, लेकिन कमी के बावजूद, आकाश 20% तक चाय पर अपने व्यय को बढ़ाताहै।उसके चाय की मासिक खपत में प्रतिशत परिवर्तन क्या है?
a) + 60
b) – 10
c) + 33.33
d) 50
4) एक गेहूं का व्यापारी 2,200 रुपये प्रति क्विंटल बेचकर 10% का लाभ कमाता है। यदि वह गेहूं 2,250 रुपये प्रति क्विंटल पर बेचता है, तो पूरे निवेश पर उसका लाभ प्रतिशत क्या है?
a) 6
b) 66
c) 5
d) 8
5) लैपटॉप के उत्पादन की लागत 9,000 रुपये है, जो अनुपात 3: 4: 2 में सामग्री, श्रम और उपरि व्यय के बीच विभाजित है। यदि लैपटॉप सेट को उस कीमत पर अंकित किया जाता है जो श्रम के लिए जिम्मेदार मूल्य के घटक पर 20% लाभ देता है, तो सेट की अंकित मूल्य क्या होती है?
a) 9,800 रुपये
b) 10,800 रुपये
c) 9,600 रुपये
d) 10,200 रुपये
6) यदि प्रति वर्ष 5% की दर पर 3 साल के लिए एक राशि पर साधारण ब्याज जोड़ने के बाद राशि 3540 रुपये हो जाती है, तो इसी राशि पर दुगने दर से और इसी अवधि के लिए चक्रवृद्धि ब्याज क्या होता है
a) 331 रुपये
b) 993 रुपये
c) 662 रुपये
d) इनमे से कोई नहीं
7) 3 नमूनों में दूध और पानी का अनुपात 2: 1, 3: 2 और 5: 3. एक मिश्रण बनाया जाता है जिसमें सभी 3 नमूनों की बराबर मात्रा ली जाती है। मिश्रण में दूध और पानी का अनुपात है?
a) 2 : 1
b) 5 : 1
c) 99 : 61
d) 227 : 133
8) A, B, C और D क्रमश: 10, 20, 40 और 80 घंटे में काम के किसी भाग को एक टुकड़ा कर सकते हैं। A काम शुरू करता है,जब काम का ¼ भाग समाप्त हो जाता है तो B काम करने के लिए आता है ,आधा काम पूरा होने के बाद C, B की जगह लेता है और D काम के 3/4 वें भाग के समाप्त होने के बाद C की जगह लेता है। D काम पूरा करता है। समय ज्ञात करें (घंटों में) जिसके बाद काम पूरा हो जाता है।
a) 36
b) 37.5
c) 37
d) 38.5
9) दो व्यक्ति अक्रम और वक्रम एक दूसरे की ओर एक ही समय में दो बिंदुओं से आगे बढ़ना शुरू कर देते हैं जो 180 मीटर की दुरी पर है।अक्रम और वक्रम एक दुसरे से मिलने के बाद विपरीत छोर तक पहुंचने के लिए क्रमश: 8 सेकंड और 18 सेकंड का समय लिया। अक्रम की गति क्या है?
a) 6 मीटर/सेकंड
b) 8 मीटर/सेकंड
c) 9 मीटर/सेकंड
d) 5 मीटर/सेकंड
10) एक वस्तु का अंकित मूल्य 65 रुपये है। एक ग्राहक ने 56.16 रुपये के लिए इस वस्तु को खरीदा और दो लगातार छूट मिली जिनमें से पहला 10% है। दुकानदार द्वारा इस योजना की छूट की दूसरी दर क्या थी?
a) 3%
b) 4%
c) 6%
d) 2%

11)

12)

a) a+ b + c
b) 3
c) 1
d) 0
13)
![]()
a) 0
b) 1
c) 2
d) 3
14)

a) -1
b) 1
c) 2
d) 3
15) समीकरण 3x – ky – 20 = 0 और 6x – 10y + 40 = 0 का कोई समाधान नहीं तो k का मान होगा?
a) 10
b) 6
c) 5
d) 3
Answers :
1) उत्तर: b)
छात्रों की औसत आयु =s वर्ष,
और प्रिंसिपल की आयु =p
प्रश्न के अनुसार,

प्रिंसिपल की आयु को छोड़कर, सभी छात्रों की नई औसत आयु = s= 25 – 1 = 24
मेंसमीकरण में s = 24 देने पर (i), हमें मिलता है
p= 75 वर्ष।
2) उत्तर: a)
30 लीटर मिश्रण में दूध और पानी का अनुपात 7:3 है, यानी मिश्रण में 21 लीटर दूध और 9 लीटर पानी है।
जबआप अधिक पानी डालते हैं, तो मिश्रण में दूध की मात्रा 21 लीटर पर स्थिर रहती है।
पानी जोड़ने के बाद, नए मिश्रण में 50% दूध और 50% पानी होता है।
इसलिए, 21 लीटर दूध मात्रा के अनुसार 50% के लिए खाते हैं।
अतः, 100% मात्रा = (21 / 0.5) = 42 लीटर।
हमने 30 लीटर के साथ शुरू किया और 42 लीटर के साथ समाप्त हुआ
इसलिए, 12 लीटर पानी मिलाया जाना है
3) उत्तर: a)

4) उत्तर: c)
यहां,
क्र.मू.1.1 = रु.2200
या, क्र.मू.= रुपये 2000
22,50 रुपये की बिक्री मूल्य पर, लाभ प्रतिशत = 250 × 100/2000 = 12.5
5) उत्तर:a)
श्रम मूल्य 4,000 रुपये है।
चूंकि लाभ प्रतिशत इस घटक पर 20% लाभ देता है, यानी रुपये 800
इसलिए, अंकित मूल्य 9,800 रुपये है।
6) उत्तर: b)
माना की मूलधन रु .x हो, तो
x + 0.15x = 3540, या x = रु.3000।
3 साल के लिए प्रति वर्ष 10% की दर से 3000 रुपये पर व्चाक्रवृद्धि ब्याज दिया जाएगा:
पहले वर्ष के लिए ब्याज = 3000 का 10% = 300 रुपये
दूसरे वर्ष के लिए ब्याज = 10%
(3000 + 300) = 300 + 30 = 330 रुपये
तीसरे वर्ष के लिए ब्याज = 10%
(3300 + 330) = 330 + 33 = 363 रुपये
इस प्रकार, कुल ब्याज = 300 + 330 + 363 = 939 रुपये
7) उत्तर:d)
3 नमूनों में दूध का अनुपात = 2/3, 3/5, 5/8
3 नमूनों में पानी का अनुपात = 1/3, 2/5, 3/8।
चूंकि बराबर मात्रा ली जाती है, इसलिए
दूध का कुल अनुपात =2/3+3/5+5/8 = 227/120
पानी का कुलअनुपात = 1/3+2/5+3/8= 133/120
मिश्रण में दूध और पानी का अनुपात = 227: 133
8) उत्तर: b)
काम की कुल इकाइयां 80 (एलसीएम 10, 20, 40, 80) इकाइयों की अनुमति दें।
प्रति दिन कार्य क्षमताएं
A = 80/10 = 8,
B = 80/20 = 4,
C = 80/40 = 2,
D = 80/80 = 1,
प्रश्न के अनुसार ,
A के द्वारा अकेले 20 इकाई कार्य की जाती है, B द्वारा 20 इकाई की जाती है, 20 इकाईC द्वारा की जाती हैं और 20इकाई D द्वारा की जाती है। इसलिए, आवश्यक समय = 20/8 + 20/4 + 20 / 2 + 20/1 = 37.5 घंटे।
9) उत्तर: c)
मिलने के बाद लिया गया समय 8 सेकंड और 18 सेकंड है।
इसलिए मिलने के लिए लिया गया समय (8 × 18) की वर्गमूल होगी12
इसलिए, अक्रम द्वारा लिया गया समय=
12+8=20 सेकंड।
वक्रम की गति =180/20=9 मीटर/सेकंड।
10) उत्तर: b)

11) उत्तर: c)

12) उत्तर: c)

13) उत्तर: a)

14) उत्तर: b)

15) उत्तर: c)


