Dear Aspirants, Here we have given the Important SSC Exam 2019 Practice Test Papers. Candidates those who are preparing for SSC 2019 can practice these questions to get more confidence to Crack SSC 2019 Examination.
[WpProQuiz 4990]
Click Here for SSC CGL Online Mock Test
Click here to view Quantitative Aptitude Questions in English
1) निम्नलिखित अभिव्यक्ति की इकाई अंक ज्ञात कीजिए– (102)102 × (101)101×(107)107× (106)106 ×(105)105
a) 0
b) 2
c) 6
d) 5
2) चार बढ़ई A, B, C और D को कार्यालय फर्नीचर का काम सौंपा गया है। A 10 दिन में काम कर सकता है, यदि B, A से 20% अधिक कुशल है और C, B की तुलना में 30% अधिक कुशल है, और D, C से 10% अधिक कुशल है, तो C और D मिलकर लगभग कितने दिन में कार्य समाप्त कर सकते हैं ।
a) 3 days
b) 4 days
c) 5 days
d) 6 days
3) एक बूढ़ी महिला ने इस शर्त पर घरेलू मदद की कि वह उसे 120 रुपये और एक साल की सेवा के बाद एक उपहार देगी। उन्होंने केवल 6 महीने सेवा की और 50 रु और उपहार प्राप्त किया, उपहार का मूल्य ज्ञात कीजिये ।
a) 20
b) 10
c) 15
d) 30
4) 31 3 sin x + 31 4 cos x का न्यूनतम मान क्या है?
a) 2 × 31 – √5/2
b) 2– √5
c) 31– √5
d) 0
5) सबसे छोटा पूर्ण वर्ग जो 11!! से विभाज्य है?
a) 12006200
b) निर्धारित नहीं किया जा सकता हैं
c) 12600225
d) 12600252
6) संख्या 120 के कारकों के कितने जोड़े हैं। ऐसा कि वे एक-दूसरे के सह-प्रमुख हैं?
a) 40
b) 20
c) 30
d) 32
7) PQR PQ = PR = 160 मीटर के साथ एक त्रिकोणीय पार्क है। QR के मध्य बिंदु पर एक क्लॉक टॉवर स्थित है। P & Q पर टॉवर के शीर्ष की ऊंचाई के कोण क्रमशः Cot–1 3.2 और cosec–12.6 हैं। टावर की ऊंचाई है-
a) 50 मीटर
b) 30 मीटर
c) 60 मीटर
d) 40 मीटर
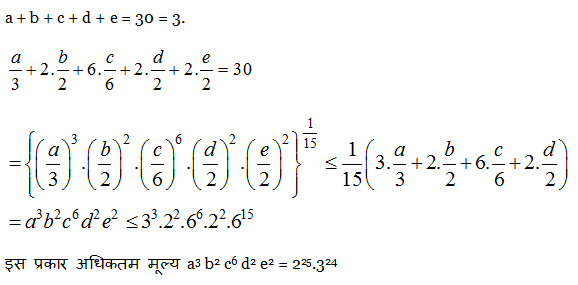
8) यदि a, b, c, d और e सकारात्मक वास्तविक संख्याएँ हैं जैसे कि a + b + c + d + e = 30, a3 b3 c6 d2 e2 का अधिकतम मान ज्ञात करें ?
a) 225. 324
b) 224.325
c) (–6)24
d) (6)25
9) रेखा x = – 3 में बिंदु (- 5, 3) का प्रतिबिंब क्या है ?
a) (–2, 3)
b) (–1, 3)
c) (– 1, – 3)
d) –2, – 3
10) त्रिभुज की दो भुजाएँ √5 – 1 & √5 + 1 इकाई हैं और उनका सम्मिलित कोण 600 है, त्रिभुज को हल कीजिए और ‘a’ का मान ज्ञात कीजिए
a) √3
b) √2
c) √6
d) 2√3
Answers :
1) उत्तर: a)
दिए गए मान का इकाई अंक
2102 × 1101 × 7 107 × 6 106 × 5 105
= 2 4×25 + 2 × 1 × 7 4×26 + 3× 6 × 5
= 6 × 2 × 2 × 1 × 1 × 7 × 7 × 7 × 30
= 24*243*30
= 4 * 3 * 30 = 0
2) Answer: a)
प्रश्न में दिए गए शर्तों के अनुसार
हम हर एक बढ़ई का कुशलता ज्ञात कर सकते हैं
A = 100 % और B = 120 %
C=120´130/100=156%,D=156´110/100=171.6%
C & D का संयुक्त दक्षता = 327.6%
अब,
100%= 10days
1%= 10´100days
327.6%=10´100/327.6 days=3.05days ≈ 3 days
3) उत्तर : a)

4) उत्तर: a)
हम जानते हैं कि, अंकगणित माध्य (a, b) ज्यामितिक मध्यक (a, b)

5) उत्तर : c
11!! = 11×9×7×5×3×1 [X!! = X (X –2) (X – 4) ….. और आगे ]
= 111×32×71×51×31
इस प्रकार, सबसे कम सही वर्ग जो 11!! से विभाज्य है वो होना चाहिए (111 32 71 51 31) (111 71 51 31)
= 10395×1155 = 12006225.
6) उत्तर : d)
ऐसे जोड़े हैं
= 1 + (p + q + r) + 2 (pq + qr + pr) + 4pqr
(p = 3, q = 1, r = 1)
= 1 + 5 + 2 (3 + 1 + 3) + 4×3×1×1
= 6 + 14 + 12
= 32
7) उत्तर: d)

8) उत्तर: a)

9) उत्तर: र b)

10) उत्तर: c)

