Dear Aspirants, Here we have given the Important SSC Exam 2019 Practice Test Papers. Candidates those who are preparing for SSC 2019 can practice these questions to get more confidence to Crack SSC 2019 Examination.
[WpProQuiz 5133]
Click Here for SSC CGL Online Mock Test
Click here to View Quantitative Aptitude Questions in English
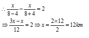
1) 20%, और 15%, 10% और 30% क्रमिक छूट की अनुमति देते हुए, वस्तु का विक्रय मूल्य 17136 हो जाता है तब अंकित मूल्य होगा-
a) र 42,000
b) र 32,000
c) र 36,000
d) र 40,000
2) पानी 28 किमी व्यास के पाइप के माध्यम से 10 किमी / घंटा की दर से एक आयताकार टैंक में बह रहा है जो 100 मीटर लंबा, 88 मीटर चौड़ा है। टैंक में पानी के स्तर में वृद्धि 14 सेमी के रूप में होने के लिए समय, ___ घंटे, लिया गया-
a) 3 घंटे
b) 2 घंटे
c) 5 घंटे
d) 1.75 घंटे
3) पांच कंटेनरों के मिश्रण में दूध और पानी का अनुपात क्रमशः 1: 2, 2: 5, 3: 5, 2: 3 और 4: 7 है, किसमें दूध के सापेक्ष कंटेनर में पानी की मात्रा अधिकतम है?
a) 2nd
b) 3rd
c) 4th
d) 5th
4) एक आदमी शांत जल में 8 किमी / घंटा से खे सकता है । यदि धारा की गति 4 किमी / घंटा है तो समान दूरी के लिए अनुप्रवाह की तुलना में उर्ध्प्रवाह के बहाव में 2 घंटे अधिक लगते हैं। दूरी है:
a) 10 किमी
b) 12 किमी
c) 8 किमी
d) 2 किमी
5)


6)

का न्यूनतम मान बताएं?
a) 51
b) 50
c) 49
d) इनमे से कोई नहीं
7) दो लैंप पोस्ट ’x’ मीटर से दूर हैं और एक की ऊँचाई दूसरे की तिगुनी है। यदि उनके पैरों से जुड़ने वाली रेखा के मध्य बिंदु से, प्रेक्षक को उनके टेप्स की कोणीय एलिवेशनको पूरक पाता है, तो ऊँचाई (छोटे लैम्प पोस्ट के मीटर में) है?
a) √3/x
b) x√3/6
c) 6x/√3
d) x/3√6
8) सीधी रेखा के समीकरण का पता लगाएं, जो x – अक्ष की सकारात्मक दिशा के साथ 75o का कोण बनाती है और जो y- अक्ष की नकारात्मक दिशा पर लंबाई 6 के अंतराल पर मिलती है।
a) (√2 + 3)x – 6
b) (√2 – 3)x – 6
c) (√2 – 3)x + 6
d) (√2 ± 3)x ± 6
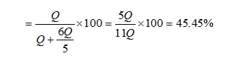
9) रॉय ने सुपर बाजार से कुल 12 फल (अंगूर और अनानास ) खरीदे। उन्होंने पाया कि उन्हें अंगूर से निकाले गए रस की समान मात्रा निकालने के लिए 2 % कम अनानास की आवश्यकता थी। यदि रॉय ने मिश्रण बनाने के लिए अंगूर की समान संख्या का उपयोग किया है, तो निम्नलिखित में से कौन मिश्रण में अंगूर के रस के प्रतिशत का सही प्रतिनिधित्व करता है?
a) 40%
b) 35.355
c) 45.45%
d) 50%
10) शेषफल बताएं जहां दी गई अभिव्यक्ति 7 से विभाजित है?
N = 11×12 × 13 × 14 × 15 × 16 × 17 × 18 × 19 × 20 × 21 × 22.
a) 6
b) 7
c) 1
d) 0
Answers :
1) उत्तर: d)

2) उत्तर: b)

3) उतर: a)

4) उत्तर: b)
माना आवश्यक दूरी x किमी है

5) उत्तर: d)

6) उत्तर: a)
यहाँ x का न्यूनतम मान 1 है
28 + 2 – 2 + 111/24 – 2 + 2 – 9 = (256 + 101) / (16 – 9) = 357/7 = 51
7) उत्तर: b)
दिए गए आरेख से हमें दिखता हैं –

8) उत्तर: a)

9) उत्तर: c)
माना की अंगूर के द्वारा निकाला गया रस =Q इकाई
1 अंगूर द्वारा निकाला गया रस की मात्रा = Q/P Units
6 अंगूरों द्वारा निकाला गया रस है = 6Q/P Units
इसी प्रकार, P2 अंगूर द्वारा निकाला गए रस= Q इकाई
P1 द्वारा निकाला गया रस……….. = Q/(P -1) units
P6 द्वारा निकाला गया रस………..= 6Q/ (P – 1) Units
इसके अलावा, उन्होंने अंगूर और अनानास की बराबर संख्या ली है
P = 6
P का मान रखने पर प्राप्त %

10) उत्तर: a)

= 20 × (–1) × (–1) (–1) (–1)
= (–1) (–1) (–1) (–1) (–1)
= –1
इसलिए धनात्मक शेषफल = 7 – 1 = 6


