Dear Aspirants, Here we have given the Important SSC Exam 2019 Practice Test Questions. Candidates those who are preparing for SSC 2019 can practice these questions to get more confidence to Crack SSC 2019 Examination.
[WpProQuiz 5379]
Click Here for SSC CGL Online Mock Test
Click here to View Quantitative Aptitude Questions in English
1) तीन अंकों की संख्या 4b5 जो 11 से विभाज्य है, प्राप्त करने के लिए एक तीन अंकों की संख्या 2a2 को एक दूसरी तीन अंकों की संख्या 243 में जोड़ा गया है। फिर a और b के हरात्मक श्रेणी (एच.पी.) का मान क्या है?
a) 45/7
b) 45/14
c) √45
d) 1/7
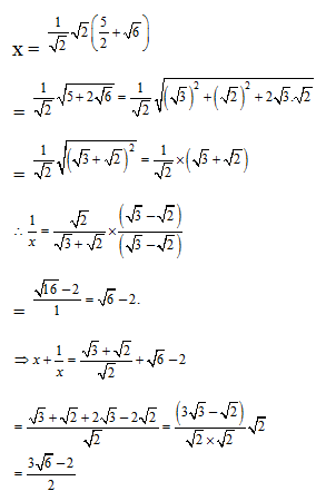
2)


3) x अक्ष, y अक्ष और रेखा 5x + 8y = 40 और 6x + 10 y = 90 द्वारा गठित एक समलम्ब का क्षेत्रफल है,
a) 52.5 वर्ग इकाई
b) 85.5 वर्ग इकाई
c) 105 वर्ग इकाई
d) इनमें से कोई नहीं
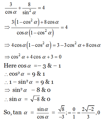
4) यदि 2 sec α + cosec2 α = 4 है, तो tan α का वास्तविक और काल्पनिक दोनों मान ज्ञात कीजिए?
a) 2√2/3, 0
b) 2√2/3, 10
c) 2√2/5, 0
d) इनमे से कोई नहीं
5) दो पुरुष A और B ने एक कार्य शुरू किया जिसमें B की तुलना में A दोगुना कुशल था और B दिए गए कार्य को 44 दिनों में पूरा करता है। यदि वे वैकल्पिक दिन पर कार्य कर रहे हैं और A कार्य शुरू करेगा, तो उन्हें कार्य को समाप्त करने में कितने दिन लगेंगे?
a) 25 दिन
b) 30 दिन
c) 32 ½ दिन
d) निर्धारित नहीं किया जा सकता है
6) एक रेस्तरां द्वारा तैयार नई किस्म का खाना 40% के लाभ पर बेचा जाता है। अगर इसे 120 रुपये कम में बेचा जाता, तो 20% की हानि होती, भोजन की लागत कीमत रुपये में क्या है?
a) 180
b) 120
c) 150
d) 200
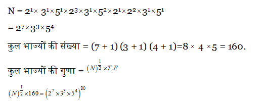
7) यदि N = 30× 40×50×60 है, तो कुल भाज्यों की गुणा क्या है?

8) (10!!)2019 + 6!! का अंतिम अंक है।
a) 0
b) 6
c) 8
d) 4
9) (5!)3! + (4!)5! को 5 से विभाजित किया गया है,तो शेष क्या है?
a) 1
b) 4
c) 0
d) 2
10) एम.आर.पी : सी.पी.= 1: 2, सी.पी.: छूट = 2: 3 का अनुपात हैं, यदि विक्रय मूल्य, एम.आर.पी से दोगुना है, तो हानि या लाभ% ज्ञात कीजिये?
a) 50% हानि
b) 60% लाभ
c) 33.33% हानि
d) ना लाभ ना हानि
Answers :
1) उत्तर: a)
2 a 2
+ 2 4 3
4 b 5 => जो 11 से विभाज्य है,
फिर | 4 | + | 5 | – | b | = 0, 11 ……. आदि।
‘0’ के लिए b ‘9’ होना चाहिए। तो, b = 9 फिर 9 + 4 = 9 a = 9 – 4 = ‘5’
अब, प्रश्न के अनुसार,
हरात्मक माध्य औसत के कई प्रकारों में से एक है। गणितीय रूप से, दो संख्याओं a और b के बीच के हरात्मक माध्य को परिभाषित किया गया है।
एच.पी. = 2/ (1/a + 1/b)

2) उत्तर: c)


3) उत्तर: a)
5x + 8y = 40 के लिए,
x = 0, y = 5 रखने पर,
y = 0, x = 8 रखने पर,
6 x + 16 y = 90 के लिए,
x = 0, y = 9 रखने पर,
y = 0, x = 15 रखने पर,

∆OCD का क्षेत्रफल = ½ × OD × OC
= ½ × 15 × 9 = 135 /2
∆OA×OB का क्षेत्रफल =1/2 ×5 × 8 = 20
समलम्ब ABCD का क्षेत्रफल = 135 / 2 – 20 = (135 – 40) /2 = 52.5 इकाई 2
4) उत्तर: a)

5) उत्तर: b)
A की दक्षता : B की दक्षता
2 : 1
B कार्य पूरा कर सकता है = 44 दिन
इसीलिए, A कार्य पूरा कर सकता है = 22 दिन
44 और 22 का लघुत्तम समापवर्त्य 44 (कुल कार्य इकाई) है, A, 44/22 = 2 इकाई कार्य 1 दिन में पूरा करता है और B, 44/44 = 1 इकाई कार्य 1 दिन में पूरा करता है।
प्रश्न में दी गयी शर्त के अनुसार,
A और B वैकल्पिक दिनों में काम कर रहे हैं, इसलिए, 2 दिनों में कुल कार्य = 3 इकाई।
44 इकाइयां / 3 = 14 दिन के जोड़े (1 जोड़ा = 2 दिन; इसलिए कुल दिन = 28 दिन) और शेष कार्य = 2 इकाई, दिन = 2/2 = 1 दिन, A द्वारा किया गया है।
कुल दिन = 28 दिन +2 दिन = 30 दिन।
6) उत्तर: b)
लागत कीमत = x
विक्रय-मूल्य1 = 140x/100
विक्रय-मूल्य2 = 80x/100
लागत कीमत = विक्रय-मूल्य1 – विक्रय-मूल्य2 = 120
140x/100 – 80x/100 = 120
60x/100 = 120
x = 200
लागत कीमत = 200 रुपये
7) उत्तर: b)

8) उत्तर: c)

इसीलिए, इस अभिव्यक्ति की इकाई / अंतिम अंक है, 0 + 8 = 8
9) उत्तर: a)

10) उत्तर: d)
एम.आर.पी : सी.पी. : छूट
1 : 2 : 3
एम.आर.पी : सी.पी. : छूट = x, 2x, 3x और प्रश्न में दी गयी शर्त के अनुसार, विक्रय मूल्य = 2x
यहां सी.पी.= विक्रय मूल्य, इसलिए कोई लाभ नहीं, कोई हानि नहीं है।
*********************************
Click Here for SSC CGL Online Mock Test
Click here for previous Quizzes
SSC EXAMS | Quantitative Aptitude Questions Hindi (Day-26)
SSC EXAMS | Quantitative Aptitude Questions Hindi (Day-25)
SSC EXAMS | Quantitative Aptitude Questions Hindi (Day-24)

