Crack SBI Clerk 2018 – Logical Reasoning (Miscellaneous) Day-27:
Dear Readers, Reasoning Section play a vital role in Banking and all other competitive exams. This year 2018 was started with three wonderful opportunities; Most Awaited SBI Clerk 2018. To enrich your preparation here we have providing new series of Practice Questions on Reasoning Ability – Miscellaneous. Candidates those who are going to appear in Bank Exams 2018 can practice these questions daily and make your preparation effective.
[WpProQuiz 1461]
Click “Start Quiz” to attend these Questions and view Solutions
Daily Practice Test Schedule | Good Luck
| Topic | Daily Publishing Time |
| Daily News Papers & Editorials | 8.00 AM |
| Current Affairs Quiz | 9.00 AM |
| Logical Reasoning | 10.00 AM |
| Quantitative Aptitude “20-20” | 11.00 AM |
| Vocabulary (Based on The Hindu) | 12.00 PM |
| Static GK Quiz | 1.00 PM |
| English Language “20-20” | 2.00 PM |
| Banking Awareness Quiz | 3.00 PM |
| Reasoning Puzzles & Seating | 4.00 PM |
| Daily Current Affairs Updates | 5.00 PM |
| Data Interpretation / Application Sums (Topic Wise) | 6.00 PM |
| Reasoning Ability “20-20” | 7.00 PM |
| English Language (New Pattern Questions) | 8.00 PM |
| General / Financial Awareness Quiz | 9.00 PM |
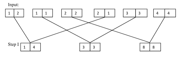
Directions (1-5): Study the following information carefully and answer the given questions.
A number arrangement machine arranges two digit numbers into a typical manner. Each step gives output taking input from the previous step. The following is an illustration of Input and rearrangement. Using the illustration answer the question given below.

1) If the value “5” is subtracted from the final output then what will be the resultant value?
a) 5
b) 1
c) 2
d) 3
e) None of these
2) If in the first step the first digit of every number is added and multiplied by 4 then which will be the resultant value?
a) 56
b) 60
c) 52
d) 48
e) None of these
3) Which of the following combinations represent the first digit of the second value and the second digit of the first value in Step I of the given input?
a) 1, 4
b) 4, 8
c) 8, 3
d) 3, 8
e) 3, 4
4) Which of the following represents the sum of the first digit of the second value and the second digit of the first value in Step II of the given input?
a) 8
b) 7
c) 6
d) 4
e) 9
5) Which of the following represents the difference between the first value and the second value of Step III of the given input?
a) 8
b) 3
c) 5
d) 4
e) 6
Directions (6-7): Read the following information carefully and answer the questions which follow.
If ‘A – B’ means ‘A is father of B’.
If ‘A + B’ means ‘A is daughter of B’.
If ‘A ÷ B’ means ‘A is son of B’.
If ‘A × B’ means ‘A is wife of B’
6) In the expression ‘P + Q × R ’ how is R related to P?
a) Daughter
b) Brother
c) Father
d) Sister
e) None of these
7) In the expression ‘P ÷Q − T’ how is T related to P?
a) Mother
b) Sister
c) Brother
d) Either brother or sister
e) None of these
8) Pole P is 13 km towards the East of Pole Q.Siddharth, starts from Pole Q, travels 8 km towards West and takes a right turn. After taking the right turn, he travels 5 km and reaches Pole B. From Pole B, Siddharth takes a right turn again, travels 21 km and reaches Pole C. How far and towards which direction must the Siddharth travel to reach Pole P?
a) 5 km towards South
b) 5 km towards West
c) 21 km towards South
d)13 km towards South
e) None of these
9) Four of the following five are alike in a certain way and hence form a group. Which is the one that does not belong to that group?
a) EV
b) KP
c) IR
d) OL
e) CW
10) What should come in place of question mark (?)in the following series?
JK, MN, QR, VW, ?
a) BC
b) XY
c) YZ
d) AB
e) None of these
Answers:
Direction (1-5):


Step I – First digit multiply with the second digit and the second digit multiply with the first digit
Step II –
First number – Reverse value of sum of first digit of all three numbers– 1 + 3 + 8 = 12 = 21
Second number – Reverse value of sum of seconddigit of all three numbers – 4 + 3 + 8 = 15 = 51
Step III – Multiplication of both digits within the number
First number – 2 × 1 = 2
Second number – 5 × 1 = 5
Step IV – Sum of both numbers
- Answer c) 2
2) Answer d) 48
3) Answer e) 3, 4
4) Answer c) 6
5) Answer b) 3
Directions (6-7):
6. Answer c) Father
P is daughter of Q.
Q is wife of R.
Thus, R is husband of Q, then P is daughter of R.
7. Answer d) Either brother or sister
P is son of Q.
Q is father of T.
Thus, T and P is son or daughter of Q.
8. Answer a) 5 km towards South

9. Answer e) CW
The value of both in alphabetical order and reverse alphabetical order is samein all options other than option (e)
10. Answer a) BC


