SSC CGL EXAMS 2018 | Quantitative Aptitude in Hindi (Day-1)

Dear Aspirants, Here we have given the Important SSC Exam 2018 Practice Test Questions. Candidates those who are preparing for SSC 2018 can practice these questions to get more confidence to Crack SSC 2018 Examination.

[WpProQuiz 4180]

Click here to view Quantitative Aptitude Questions in English

01) A, B और C का औसत वजन x किलोग्राम है। A और C का औसत वजन डाइटिंग के बाद y किलोग्राम कम हो जाता है और B का वजन किलोग्राम से बढ़ जाता है। इसके बाद उनका औसत वजन में 1किलोग्राम की कमी आ जाती है। तब y ज्ञात करें।              

a) 1 किलोग्राम

b) 2 किलोग्राम

c) 3 किलोग्राम

d) निर्धारित नहीं किया जा सकता है

02) एक पात्र परिष्कृत तेल से भरा है। परिष्कृत तेल के ¼ भाग बाहर निकाला जाता है और पात्र को सरसों के तेल से भरा जाता है। अगर इस प्रक्रिया को 4 बार दोहराया जाता है और 10 लीटर परिष्कृत तेल अंततः पात्र में छुट जाता है तो पात्र की क्षमता क्या है?

a) 33 लीटर

b) 2460/81 लीटर

c) 2560/81 लीटर

d) 30 लीटर

03) एक चुनाव में A, B और C 3 उम्मीदवार हैं, A को B से 50% अधिक वोट मिलते हैं। A 18000 वोटों से C को हराता है। यदि B को C से 5 प्रतिशत अधिक वोट मिलते हैं तो वोटिंग सूची में मतदाताओं की मतदान सूची ज्ञात करें (मतदान सूची से 90% मतदाताओं की संख्या ने वोट दिया और कोई वोट अवैध नहीं था)

a) 72,000

b) 81,000

c) 90,000

d) 1,00,000

04) एक व्यापारी ने अपने सामान मूल्य लागत मूल्य से 20% अधिक अंकित किया। उसने अंकित मूल्य पर स्टॉक का आधा हिस्सा बेचा, एक चौथाई अंकित मूल्य पर 20% की छूट के साथ और शेष को अंकित मूल्य पर 40% की छूट पर बेचा। उसका कुल लाभ है

a) 2%

b) 5%

c) 13.5%

d) 15%

05) एक व्यापारी किसी उत्पाद की बिक्री मूल्य पर 10% लाभ चाहता है जबकि उसके खर्च बिक्री पर 15% है। 9 रुपये की लागत वाले वस्तु पर अंकित मूल्य की उनकी दर क्या होनी चाहिए?

06) 2 साल के लिए एक निश्चित दर पर साधारण ब्याज पर एक राशि लगाई गई थी। अगर इसे 1% उच्च दर पर रखा गया था तो यह 24 रुपये अधिक होता तो मूलधन है ?

a) 1200

b) 1500

c) 1800

d) 2000

07) 1104 रुपये 3 पुरुषों 4 महिलाओं और 6 लड़कों के बीच बांटा गया है ताकि एक आदमी एक औरत और एक लड़का का भाग 3: 2: 1 के अनुपात में हो, प्रत्येक लड़के को कितना मिलता है?

a) रुपये 48

b) रुपये 64

c) रुपये  96

d) निर्धारित नहीं किया जा सकता

08) x पुरुषों की संख्या किसी काम को 30 दिनों में कर सकती है। यदि 6 पुरुष ओर आ जाएँ तो काम 10 दिन पहले समाप्त हो जायेगा, तो पुरुषों की आरंभिक संख्या ज्ञात करें।

a) 24 पुरुष

b)12 पुरुष

c) 36 पुरुष

d) 48 पुरुष

09) 7 सेमी और 14 सेमी व्यास का पहिया एक साथ X और Y से घूमना शुरू करती है जो विपरीत दिशाओं में एक-दूसरे की ओर 1980 सेमी की दूरी पर है। उनमें से दोनों प्रति सेकंड एक ही संख्या में चक्कर लगाती है। यदि वे दोनों 10 सेकंड के बाद मिलते है, तो छोटे पहिया की गति है?

a) 22 सेमी/सेकंड

b) 44 सेमी/सेकंड

c) 66 सेमी/सेकंड

d) 132 सेमी/सेकंड

10) 5% प्रति वार्षिक ब्याज की दर पर 8000 रुपये की राशि चक्रवृद्धि ब्याज की दर से उधार ली जाती है और 3 बराबर वार्षिक किश्तों में वापस भुगतान किया जाता है, प्रत्येक किश्त की राशि क्या है?

a) 2937.67 रुपये

b) 3000 रुपये

c) 2037.67 रुपये

d) 2739.76 रुपये

11) स्कूल में भौतिकी, रसायन विज्ञान और गणित की सीट का अनुपात 4: 5: 6 में हैं। प्रत्येक विभाग में इन सीटों को 75 तक बढ़ाने का प्रस्ताव है। अंत में स्कूल में सीटों की कुल संख्या क्या थी?

a) 600

b) 750

c) 900

d) इनमे से कोई नहीं

12)

a) 1

b) 2

c) 3

d) 4

13)                

a) 12

b) 20

c) 12.5

d) 13.3

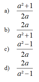
14) 

 

a) c, 1/c

b) c, c²

c) c, 2c

d) 0, 1

15) यदि SecA + tanA = a, तो cosA का मान है

Answers : 

1) उत्तर: b)

2) उत्तर: c)

परिष्कृत तेल की मात्रा शुरू में Q हो

तब हमारे पास हैQ× ¾ × ¾ × ¾ × ¾ = 10

अतः, Q = 2560/81 लीटर

3) उत्तर: d)

इस स्थिति में फिट होने वाले एकमात्र मूल्य C 25%,

B 30%, और A 45% हैं। ये मतदान हुए वोटों का प्रतिशत हैं।

नोट: इन मानों को या तो परीक्षण और त्रुटि या c + c + 5 + 1.5(c + 5) = 100% हल करके निकाला जा सकता है तब, 20% 18000 है (A और C के बीच का अंतर). तब, 90000 लोगों को मतदान करना होगा और मतदाता सूची में 100000 लोग होना चाहिए था।

4) उत्तर:a)

माना की पुरे स्टॉक का लगत मूल्य. = रु100,

तब पुरे स्टॉक की अंकित मूल्य=रु 120.

5) उत्तर: d)

 

 

 

 

 

 

6) उत्तर:a)

7) उत्तर: a)

प्रत्येक लड़के को x मिलता है, इसलिए महिलाओं को 2x

मिलता है और एक आदमी 3x मिलता है।

अब, (3 × 3x) + (4 × 2x) + (6 × x) = 1104

= 23x = 1104, = x = 48

तो, प्रत्येक लड़के को 48 रुपये मिलते है

8) उत्तर: b)

X पुरुष × 30दिन = (x + 6 पुरुष) × (30 – 10) दिन

3X = 2X + 12

X= 12 पुरुष

9) उत्तर: c)

X से शुरू होने वाले पहिया की परिधि

Y से शुरू होने वाले पहिया की परिधि

माना की दोनों पहिये एक सेकंड में n चक्कर लगाता है

1 सेकंड में दोनों पहियों द्वारा कवर की गयी दूरी

= 22n + 44n = 66 n से.मी

10 सेकंड में दोनों पहियों द्वारा कवर की गयी दूरी

= 660n से.मी

अब, 660n = 1980, So, n = 3

छोटे पहिया की गति = 22 n/सेमी/सेकंड = 66 सेमी/सेकंड

10) उत्तर:a)

माना की सालाना पुनर्भुगतान X होना चाहिए

तब: 8000 + 8000का 3 वर्ष का ब्याज (5% के चक्रवृद्धि ब्याज पर) = X + X पर 2 साल का ब्याज+X + X का 1 साल का ब्याज+ X –> X = 2937.67

11) उत्तर: d)

माना की भौतिकी, रसायन विज्ञान और गणित में सीटों की संख्या 4x, 5x और 6x है

सीटों का नया अनुपात

= (4x + 75) : (5x + 75) : (6x + 75)

तो, दिया गया डेटा अपर्याप्त है।

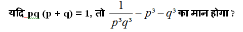
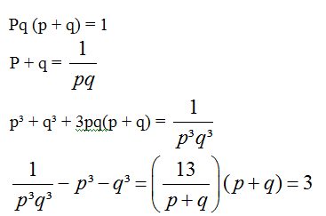
12) उत्तर: c)

13) उत्तर: c)

14) उत्तर: a)

यदि            

विकल्प के माध्यम से जाओ

n = c, रखने पर

n = c,1/c

15) उत्तर: b)

 

0 0 votes
Rating
Subscribe
Notify of
guest
0 Comments
Inline Feedbacks
View all comments