Dear Aspirants, Here we have given the Important SSC Exam 2018 Practice Test Papers. Candidates those who are preparing for SSC 2018 can practice these questions to get more confidence to Crack SSC 2018 Examination.
[WpProQuiz 4375]Click here to view Quantitative Aptitude Questions in English
1) 14 मीटर त्रिज्या के गोलाकार धान की क्षेत्र को तीन भाई में 2: 1: 1 के अनुपात में विभाजित किया गया है, बड़ी पार्टी कितनी वर्ग मीटर क्षेत्र प्राप्त करेगी?
a) 154 वर्ग.मीटर
b) 308 वर्ग.मीटर
c) 196 वर्ग.मीटर
d) 28 वर्ग.मीटर
2) निचे दिए गए व्यंजक का इकाई अंक क्या है
(2193)41 × (625)47 × (218)45
a) 3
b) 5
c) 8
d) 0
3) एक लड़का 3 घंटे में एक काम कर सकता है। तीन लड़कियां 6 घंटे में उसी काम को कर सकती हैं। एक लड़का और छः लड़की एक साथ काम करती है तो कितना समय लगता है?
a) 1.5 घंटा
b) 3 घंटा
c) 6 घंटा
d) 2 घंटा
4) निम्नलिखित में से कथन θ → 0 के लिए कौन सा सही है
(यानी θ बहुत छोटा है)
a) Sin θ = 1
b) Sin θ = 2
c) Sin θ = 0
d) Sin θ = 1/2
5) यदि दो संख्याओं का योग 23 है, और उनके वर्ग के बीच अंतर 207 है। संख्याएं ज्ञात कीजिए।
a) 17 और 8
b) 16 और 7
c) 15 और 6
d) 23 और 14
6) निम्न व्यंजक का अंतिम अंक क्या है
(24)216 × (313)216 × (47)216
a) 4
b) 1
c) 2
d) 6
7) 35 संख्याओं की औसत गणना करने पर 20 आता है, बाद में यह पता चला है कि एक संख्या की गणना करते समय 24 को गलत तरीके से 42 के रूप में पढ़ा गया था, सही औसत होगा?
a) 20.48
b) 19.48
c) 18.48
d) 17.48
8) यदि tan 4θ. tan 6θ = 1, तो tan (θ + 21°)का मान होगा?
a) √3
b) 1
c) 1/ √3
d) 0
9) भुजा 4√3 इकाई वाली ABC की अन्तः वृत्त की त्रिज्या x से.मी. है, तब x का मान ज्ञात कीजिए
a) 1/3 इकाई
b) 2 इकाई
c) √3 इकाई
d) 2 √3 इकाई
10) साधारण ब्याज और चक्रवृद्धि ब्याज (वार्षिक रूप से संयोजित) के बीच 40000 रुपये पर 3 साल के लिए 10% प्रतिवर्ष पर क्या अंतर होगा?
a) 1200
b) 1240
c) 1060
d) 1260
11) 1540 रुपये की राशि को A, B और C के बीच इस तरह से विभाजित किया गया है कि A को B और C को जो प्राप्त होता है उसका मिलता है, फिर A का हिस्सा होगा?
a) 420 रुपए
b) 540 रुपए
c) 380 रुपए
d) 1120 रुपए
12) एक दुकानदार ने एक वस्तु को रु 4750 / – में अंकित मूल्य पर 16 2/3% की छूट की अनुमति के बाद बेचता है ,अंकित मूल्य ज्ञात करें
a) 540 रुपए
b) 570 रुपए
c) 590 रुपए
d) 585 रुपए
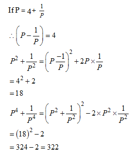
13) यदि (P = 4 + 1/p), (p4 + 1/p का मान है?
a) 18
b) 318
c) 322
d) 256
14) A का वेतन B से 20% अधिक है। B का वेतन Aसे कितना % कम है?
a) 16 2/3 %
b) 20%
c) 25%
d) 18%
15) 250 मीटर लम्बी एक ट्रेन 40 सेकंड में 150 मीटर लंबाई की एक प्लेटफॉर्म को पार करती है। ट्रेन की गति क्या है?
a) 40 किमी/घंटा
b) 36 किमी/घंटा
c) 72 किमी/घंटा
d) निर्धारित नहीं किया जा सकता
Answers :
1) उत्तर: b)
वृतीय क्षेत्र का क्षेत्रफल = πr2
= 22/ 7 * 14 * 14
= 616 वर्ग.मीटर
माना , क्षेत्र 2x,x, x हैं
अब, 2x + x + x = 616
X = 616/4 = 154 वर्ग.मीटर
बड़ा क्षेत्र = 154 × 2) = 308वर्ग.मीटर
2) उत्तर:d)
का अंतिम अंक (2193)41 = 3
का अंतिम अंक (625)47 = 5
का अंतिम अंक (218)45 = 8
∴ अंतिम अंकों का गुणज = ‘0’
3) उत्तर: a)
एक लड़का को 1 काम पूरा करने में 3 घंटे लगते हैं
एक घंटा में काम का एक तिहाई हिस्सा पूरा हो जाएगा
तीन लड़कियां एक काम को समाप्त करने में 6 घंटा लेतीं हैं
1 घंटे में 1 लड़की 1/18 काम पूरा करेगी
1 घंटे में 6 लड़की द्वारा किया गया काम 6/ 18 = 1/3
1 घंटा में 1 लड़का और 2 लड़की द्वारा पूरा किया गया काम
1/3 + 1/3 काम = 2/3 काम
1 कार्य को पूरा करने में लिया गया समय =3/2 घंटा
= 1.5 घंटे।
4) उत्तर : c)
For θ→ 0
Sin θ = 0
5) उत्तर:b)
माना की संख्या x और y हैं।

6) उत्तर:d)
(24)216 का अंeतिम अंक= 6
(313)216 का अंतिम अंक = 1
(47)216 का अंतिमe अंक = 1
गुणज का अंतिम अंक – 6 × 1 × 1 =6
7) उत्तर:b)
कुल राशि = 35 20=700
सही योग होना चाहिए = 700 – 42 + 24 = 682
सही औसत = 682 / 35 = 19.48
8) उत्तर: c)

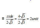
9) उत्तर: b)
अन्तः वृत्त की त्रिज्या

10) उत्तर b)

11) उत्तर: a)
माना की , B और C एक साथ रुX मिलता है तो A को मिलेगा

12) उत्तर: b)
माना की ,अंकित मूल्य रुपये xहै
अब, 16 2/3% की छूट पर

13) उत्तर: c)

14) उत्तर: a)
माना B का वेतन = Rs 100
का का वेतन= Rs. 120

15) उत्तर :b)
तय करने की गयी कुल लंबाई = (250 + 150)
=400 मीटर
लगने वाला समय = 40 सेकंड

*****************************
Click here for More Quizzes
SSC CGL EXAMS 2018 | Quantitative Aptitude Questions Hindi (Day-4)
SSC CGL EXAMS 2018 | Quantitative Aptitude Questions Hindi (Day-3)
SSC CGL EXAMS 2018 | Quantitative Aptitude Questions Hindi (Day-2)

