Dear Aspirants, Here we have given the Important SSC CGL Exams 2018 Practice Test Papers. Candidates, those who are preparing for SSC CGL Exams 2018 can practice these questions to get more confidence to Crack SSC CGL Exams 2018 Examination.
[WpProQuiz 4081]Click here to view Quantitative Aptitude Questions in Hindi
1) What is the unit digit of the sum of the first 110 natural numbers?
a) 4
b) 6
c) 5
d) 0
2) How many 10 digit positive number are there?
a) 9 × 109
b) 9 × 1010
c) 10 × 1010
d) 11 × 108
3) What is the value of

a) 1/4
b) 1/2
c) 1
d) 2
4) What is the unit digit of (317)409 × 419543 × 424628×302816?
a) 2
b) 4
c) 6
d) 8
5) N is the largest two digit number which when divided by 3,4 and6 leaves the remainder 1, 2 and 4 respectively what will be the remainder when ‘N’ is divided by 7?
a) 4
b) 3
c) 0
d) 1
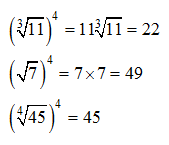
6) Which one of the following is true?
a) √11 > √7 > ∜45
b) √7 > ∛11 > ∜45
c) √7 > ∜45 >∛11
d) ∜45 > √7 > ∛11
7) What is the value of 113 + 123 + 133 + ………….. + 303?
a) 213000
b) 213200
c) 213400
d) 213600
8) Find the value of

a) 100
b) 34
c) 32
d) 54
9) If p= 7+4√3 and PQ = 1, Then what is the value of 1/ p2 + 1/q2?
a) 194
b) 196
c) 200
d) 204
10) If (x+y)/z = 6/5, (y+z)/x = 9/2, Then what is the value of x + z/y?
a) 9/5
b) 11/7
c) 7/11
d) 13/4
11) If α and β are roots of equation x2 – x + 1, which equation will have roots α2 and β2?
a) x2 + 2x + 1
b) x2 + x + 1
c) x2 – x + 1
d) x2 – 2x + 1
12) If 3x+ 5y + 7z = 56 and 9x+8y +21z =126, what is the value of y?
a) 4
b) 2
c) 6
d) 5
13) Price of 4 mango, 6 oranges and 9 guavas is Rs 305. Price of 3 mango, 4 oranges and 2 guava is rupees 145. What is the cost of 5 mango, 8 oranges and 16 guavas in rupees?
a) 415
b) 465
c) 440
d) Cannot be determined
14) How many 3 cm radius solid spheres can be get after melting 18cm diameter solid spheres?
a) 216
b) 6
c) 27
d) 36
15) What is the Value of

a) 2
b) 1
c) 3
d) 1.5
Answers :
1) Answer: c)
Sum of first N natural numbers = n(n+1)/2 = 110 (110 + 1)/2
= (110× 111)/2 = 55 × 111 = 6105
2) Answer: a)
One digit Positive No = 9 x 100
Two digit Positive No = 9 x 101
Three digit Positive No = 9 x 102
10 digit Positive No= 9 x 109
3) Answer:Â c)

4) Answer: d)
Last digit (317)409 = 1
Last digit (419)543 = 9
Last digit (424)628= 6
Last digit (302)816 = 2
Last digit of Multiple 8 is Answer
5) Answer: b)
Minimum No. 10
LCM of 3, 4, 6 = 12
No. Near to 99,
=> 10 + (12 ×7)
H when 94 divided by 7 = 3
6) Answer: c)
7) Answer: b)

8) Answer: c)

9) Answer: b)

10) Answer:Â d)
(x+y)/z = 6/5Â Â Â Â Â Â Â Â Â Â Â Â Â Â Â Â Â Â Â Â Â Â Â Â (y + z)/x = 9/2
x + y = 6Â Â Â Â Â Â Â Â Â Â Â Â Â Â Â Â Â Â Â Â Â Â Â Â Â Â Â Â Â Â Â Â x = 2
2 + y = 6Â Â Â Â Â Â Â Â Â Â Â Â Â Â Â Â Â Â Â Â Â Â Â Â Â Â Â Â Â Â Â Â y = 4
z = 5
x + z/y = 2 + (5/4) = 13/4
11) Answer: b)
If α & β are root, of each x2-x+1 then, sum of roots

12) Answer: c)
3x+ 5y + 7z = 56 —— (1)
9x+8y +21z =126 —– (2)
Multiplying eq. (i) × 3
9x + 15y + 21z = 168
Subtracting eq. from (i)
9x + 15y + 21z = 168
(-)9x+8y +21z =126
________________________
7y = 42
y = 6
13) Answer: b)
4M + 6 O + 9 G = 305          – (i)
3 M + 4 O + 2 G = 145          – (ii)
Hence, Eq (i) × 2 – Eq. (ii)
5 M + 8.0 + 16 G = (305 × 2 – 145) = 465
14) Answer: c)
Volume of sphere = 4/3 πr3
No of sphere = (4/3 πR3)/ (4/3 πr3) = 93 / 33
= (9×9×9)/ (3×3×3) = 27
15) Answer: a)

*****************************


