Dear Aspirants, Here we have given the Important SSC Exam 2019 Practice Test Papers. Candidates those who are preparing for SSC 2019 can practice these questions to get more confidence to Crack SSC 2019 Examination.
[WpProQuiz 4848]
Click Here for SSC CGL Online Mock Test
Click here to view Quantitative Aptitude Questions in English
1) जंगल के एक क्षेत्र पर दौड़ने वाली एक हिरण, जहाँ क्षेत्र का आकार त्रिभुजाकार है, बिंदु B से A तक चलना शुरू करता है, फिर A से C और अंत में बिंदु B पर पहुँचता है। यदि हिरण की गति 120 किमी / घंटा है, तो किस समय में हिरण अपनी यात्रा पूरी करेगी। हिरण की यात्रा के संबंध में कुछ और जानकारी ‘नीचे दी गई है’

i) हिरण 100oके साथ बिंदु A पर दाएं मुड़ता है.
ii) C पर 20oदाईं ओर एक मोड़ है.
iii) B से C के बीच की दूरी 100 किमी और B से A की दूरी 80 किमी है.
a) (9 + √21)/6 h
b) (9 − √21)/6 h
c) (9 ± √21)/6 h
d) 30 h
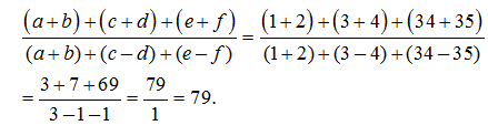
2) यदि 1 से 35 तक चुने गए छह अलग-अलग धनात्मक पूर्णांक a, b, c, d e और f हैं, तो
का महत्तम संभव मान है
a) 80
b) 70
c) 79
d) 75
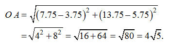
3) समांतर चतुर्भुज के दो विकर्ण एक दूसरे को निर्देशांक (7.75, 13.75) पर प्रतिच्छेद करते हैं। समांतर चतुर्भुज के दो आसन्न बिंदु हैं (3.15, 5.75) और (11.75, 14)। विकर्णों की अनुमानित लंबाई ज्ञात कीजिये?
a) 4
b) 6
c) 8
d) 5
4) एक आदमी साल की शुरुआत में बैलेंस कम होने पर 10% ब्याज पर 12,000 रुपये उधार लेता है। यदि वह प्रत्येक वर्ष के अंत में 2400 रुपये चुकाता है, तो तीसरे वर्ष की शुरुआत में ऋण (राशि) की बकाया राशि का पता लगाएं।
a) Rs. 10800
b) Rs. 10480
c) Rs. 9000
d) Rs. 9480
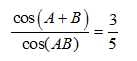
5) यदि cot A. cot B = 4, तो 3cos (A + B) + sec (A – B)?
a) 9 1/5
b) 8 1/5
c) 7 1/5
d) 6 1/5
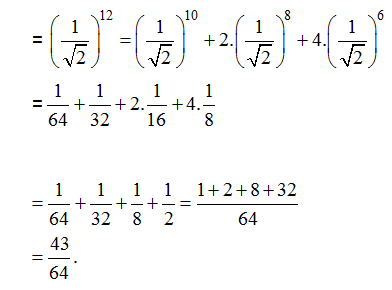
6) y = sin12q + cos10q + 2sin8q + 3cos6q,का न्यूनतम मूल्य क्या है?
a) 64/43
b) 43/64
c) 0
d) 1
7) बीन ने 12000 /- रु के लिए एक वैन खरीदा है, वह इसे दयाल को 20% हानि पर बेच देता है, फिर दयाल इसे अमित को 30% के लाभ पर बेचता है, अंत में अमित ने इसे विनीता को 10% हानि पर बेच दिया, फिर विनीता ने अमित को कितनी वास्तविक कीमत अदा की?
1) Rs. 112320
2) Rs. 110000
3) Rs. 120000
4) None of these
8) दिए गए आकृति का क्षेत्रफल के बीच का अंतर का पता लगाएं–

a) 87 √2 unit2
b) 72 √2unit2
c) 15 √2 unit2
d) 57 √2 unit2
9) 10%, 20%, 30% और 40% की क्रमिक छूट क्या है?
a) 50%
b) 65%
c) 69.76%
d) 70%
10) 18 लम्बे लड़कों का औसत वजन 48.03 किलोग्राम है और बाकी 7 लड़कों का वजन 40.05 किलोग्राम है। कक्षा में सभी लड़कों का औसत वज़न पता करें।
a) 40.7056
b) 50
c) 35.5
d) 45.7956
Answers:
1) उत्तर: a)

= 8000 = 16400 – b2
= b2 = 16400 – 8000

हिरण द्वारा तय की गई कुल दूरी है

पूरा यात्रा तय करने में लगा समय

2) उत्तर: c)
दिया हुआ है की हुए कि, a, b, c, d, e और f छह अलग-अलग धनात्मक पूर्णांक हैं जो 1 से 35 के बीच हैं

महात्म संभव मान के लिए
(a + b) + (c – d) + (e – f) = 1.
यहां, हम संभव मान लेते हैं
a = 1, b = 2, c = 3, d = 4, e = 4, f = 35
= (1 + 2) + (– 1) + (1)
= 1.
आवश्यक अभिव्यक्ति का उच्चतम संभव मान

3) उत्तर: a)
चूंकि, समांतर चतुर्भुज के विकर्ण, मध्य बिंदुओं पर एक दूसरे को काटते हैं

बिन्दुओं(7.75, 13.75) और (3.75, 5.75)के बीच की दूरी,

बिन्दुओं(7.75, 13.75) & (11.75, 14)के बीच की दूरी
बिन्दुओं (7.75, 13.75) और (11.75, 14) के बीच की दूरी

4) उत्तर: d)
एक वर्ष के बाद, देय राशि
12000 × 1.1 – 2400 = 10,800
इसलिए, दो साल बाद देय राशि,
= 10,800 × 1.1 – 2400
= Rs. 9480
5) उत्तर: a)
माना की, cot A. cotB = 4 ………(i)

(योगंतर निष्पत्ति प्रमेय से)

= 3 cos (A + B) + sec (A–B)
= 3.3 + 1/5
= 9 + 1/5 = 9 1/5
6) उत्तर: b)
यदि Y न्यूनतम है, तो q=45oहोना चाहिए
Y न्यून = (sin 45o)12 + (cos 45o) + 2. (sin 45o) + 4. (cos 45o)6

7) उत्तर: a)
प्रश्न के अनुसार,
विनीता द्वारा अमित को दी गई वास्तविक लागत है,
= 120000 * (80/100) * (130/100)* (90/100) = 112320
8) उत्तर: d)
(1) आकृति का क्षेत्रफल

और (ii) आकृति PQRका क्षेत्रफल,
PQR के तीनों भुजाओं का योग= (8 + 12 + 10) इकाई = 30 इकाई
S = 30/2 = 15 इकाई

प्रश्न के अनुसार
दोनों के क्षेत्रफल के बीच का अंतर
= 72√2 unit2 – 15√2 unit2
= 57 √2 unit2
9) उत्तर: c)

10) उत्तर : d)


