Dear Aspirants, Here we have given the Important SSC Exam 2018 Practice Test Papers. Candidates those who are preparing for SSC 2018 can practice these questions to get more confidence to Crack SSC 2018 Examination.
[WpProQuiz 4521]Click here to view Quantitative Aptitude Questions in English
1)
![]()
a) 1
b) 2
c) 3
d) 4
2) निम्न का न्यूनतम मान बताए?
![]()

3) एक टावर के शीर्ष से दो बिन्दुओं का उन्नयन कोण जो टावर के आधार से एक ही सरल रेखा में है और उस दोनों के कोण संपूरक हैं। टावर की ऊंचाई क्या है?
a) 50 मीटर
b) 48 मीटर
c) 25 मीटर
d) 24 मीटर
4) सोनू काम के एक भाग को 120 दिन में कर सकता है और दिनेश इसे 150 दिन में खत्म कर सकता है। वे एक साथ 10 दिनों के लिए काम किये। उसके बाद सोनू और दिनेश दोनों छोड़ दें, बाकी का काम रमेश द्वारा पूरा किया जाता है जहाँ रमेश द्वारा उसी काम को करने में 60 दिन लगाते हैं। कुल कार्य पूरा होने में कितने दिन लगेंगे?
a) 61
b) 71
c) 80
d) 06
5) एक मूलधन की राशि पर, 2 साल के लिए साधारण ब्याज 480 है, जहाँ चक्रवृद्धि ब्याज 508.80 है, दोनों मामलों में ब्याज दर बराबर है। ब्याज दर है-
a) 10%
b) 15%
c) 12%
d) इनमें से किन नहीं
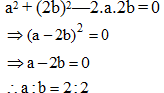
6) यदि a2 + 4b2 = 4ab तब a : b = ?
a) 1 : 2
b) 2 : 1
c) 4 : 1
d) 1 : 4
7) साझेदारी की व्यवसाय की शुरुआत में बिनोद की पूंजी अमर की तुलना में अधिक थी। 6 महीने बाद, बिनोद ने अपना आधा हिस्सा वापस ले लिया और 10 महीने बाद अमर ने अपनी पूंजी का ¼ वापस ले लिया। साल के अंत में यदि 106,000 रुपये लाभ अर्जित किया गया है, अमर द्वारा प्राप्त राशि ज्ञात कीजिये?
a) 40000
b) 42000
c) 44000
d) 46000
8) एक यात्री एजेंट ने 3,450 रुपये के लिए एक ट्रैवल टिकट बेचा और लेनदेन में 20% का लाभ कमाया, अगर उसने अपना सामान रु2000 में बेचा तो प्रतिशत हानि ज्ञात कीजिये?
a) 30.43%
b) 40.03%
c) 40%
d) इनमे से कोई नहीं
9) त्रिभुज ABC में,O D का केंद्र है और AD, BE और CF तीन मध्यिका हैं और AOE= 30 cm2 का क्षेत्रफल है। चतुर्भुज BDOF का क्षेत्रफल है।
a) 60 सेमी2
b) 40 सेमी2
c) 15सेमी2
d) 50 सेमी2
10) किस अनुपात में बिंदु A(—4, —3) और B(5,2) द्वारा बने रेखा को X अक्ष पर काटती है
a) 3 : 2
b) 2 : 3
c) 1 : 2
d) 1: 3
11) जमीन पर एक बिंदु A से, 20 मीटर लंबी इमारत के शीर्ष की ऊंचाई का कोण 45o है। इमारत के शीर्ष पर एक ध्वज फहराया गया है और A से फ्लैगस्टाफ के शीर्ष की ऊंचाई का कोण 60o है। फ्लैगस्टाफ की लंबाई ज्ञात कीजिये।
a) 15.23 मीटर
b) 14.64 मीटर
c) 14 मीटर
d) 15.65 मीटर
12) अंग्रेजी, गणित और विज्ञान पुस्तकों के तीन सेट में क्रमश: 336, 240 और 96 किताबो का ढेर इस तरह से ढंका हुआ है कि सभी पुस्तकों को विषयानुसार रखा जाता है और प्रत्येक ढेर की ऊंचाई समान होती है। ढेर की कुल संख्या होगी
a) 14
b) 22
c) 21
d) 48
13) एक चलती हुई ट्रेन जिसकी लम्बाई 66 मीटर है 88 मीटर लम्बाई की एक ओर ट्रेन से आगे निकलती है, जो उसी दिशा में 0.168 मिनट में आगे बढ़ती है। यदि दूसरी ट्रेन 30 किमी/घंटा पर चल रही है, तो पहली ट्रेन किस गति से चल रही है?
a) 85 किमी/घंटा
b) 55 किमी/घंटा
c) 50 किमी/घंटा
d) 25 किमी/घंटा
14) यदि दो–अंकों की संख्या के अंकों की स्थिति में अंतरण किया जाता है, तो प्राप्त संख्या मूल संख्या से 27 तक छोटी होती है। यदि संख्या के अंक 1: 2 के अनुपात में हैं, तो मूल संख्या क्या है?
a) 36
b) 48
c) 63
d) 56
15) संख्या a1, a2, a3, a4, a5,……………a24 सामान्य अंतर= 10 के साथ, अंकगणितीय श्रेणी में हैं और
a1 + a5 + a10+a15 + a20 + a25 = 225
तो निम्न का मान है
a1 + a2 + a3 + a4 + a5 + ……+ a23 + a24
a) 525
b) 725
c) 860
d) 900
Answers :
1) उत्तर: (d)

2) उत्तर: b)

3) उत्तर: b)
सुक्ष्म विधि से:
AB2 = BD X BC
h2 = 36 X 64
–> h = 6 X 8 = 48 मीटर

4) उत्तर: a)

सोनू और दिनेश द्वारा 10 दिनों का काम (5+4) 10 = 90
शेष काम
= 600 – 90 = 510 काम
शेष काम रमेश के द्वारा किया जाता है (चुकि सोनू और दिनेश दोनों ने काम छोर दिया है)
कुल दिन = 51 + 10
= 61दिन
5) उत्तर: (c)
दो वर्ष का साधारण ब्याज = 480रुपये
एक वर्ष का साधारण ब्याज= 240रुपये
और 508.80रुपये 2 वर्ष के चक्रवृद्धि ब्याज हैं
प्रथम वर्ष साधारण ब्याज और चक्रवृद्धि एक ही है.दूसरे वर्ष में केवल चक्रवृद्धि ब्याज 4 08.80 रुपये है – 480 रुपये = रुपये 28.80

6) उत्तर: b)

7) उत्तर: d)

8) उत्तर: (a)

9) उत्तर: (a)

10) उत्तर: (a)
11) उत्तर: (b)

12) उत्तर: (a)

13) उत्तर: (a)

14) उत्तर: (c)

15) उत्तर: (c)

*****************************
Click here for More Quizzes
SSC CGL EXAMS 2018 | Quantitative Aptitude Questions Hindi (Day-9)
SSC CGL EXAMS 2018 | Quantitative Aptitude Questions Hindi (Day-8)
SSC CGL EXAMS 2018 | Quantitative Aptitude Questions Hindi (Day-7)

