Dear Aspirants, Here we have given the Important SSC Exam 2019 Practice Test Papers. Candidates those who are preparing for SSC 2019 can practice these questions to get more confidence to Crack SSC 2019 Examination.
[WpProQuiz 4739]
Click Here for SSC CGL Online Mock Test
Click here to view Quantitative Aptitude Questions in English
1) x2 – 5|x|+6 = 0 समीकरण के वास्तविक मूल की संख्या क्या है ?
a) 1
2) 2
c) 3
d) 4
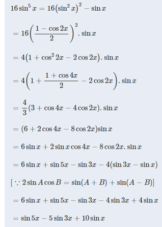
2) 16 sin5 x = P sin 5x + q sin 3x + r sin x, तब (P + r) r + q का मान क्या है?
a) 511
b) 115
c) (121)5
d) इनमे से कोई नहीं
3) समुद्र तल के स्तर से एक प्रकाश स्तंभ का आधार 153 मीटर शीर्ष तक है शीर्ष से एक नाव का अवनमन कोण 150 है l प्रकाश स्तंभ के आधार से नाव के बीच की दुरी है?
a) 153 (2 + √3)
b) 76.5 (1 +√3/2 )
c) 153 (2 – √3)
d) 76.5 (1 – √3/2)
4) x – अक्ष पर (7.25, 0) और y – अक्ष पर (0, 7.25) को छूने वाले वृत्त की त्रिज्या कितनी है?
a) 14.5 इकाई
b) 7.25 इकाई
c) .0 इकाई
d) 3.62.5 इकाई
5) 20 अवलोकनों का अंकगणित औसत 20 है। जाँच करने पर, यह पाया गया कि दो अवलोकनों को 6 और 12 के रूप में गलत तरीके से कॉपी किया गया था। यदि गलत अवलोकनों को सही मान 18 और 4 के द्वारा रखा गया है, तो सहीऔसत है?
a) 20.2
b) 20
c) 21
d) 22.5
6) एक पानी की टंकी में X इनलेट पाइप और y आउटलेट पाइप हैं। एक इनलेट पाइप टैंक 10 h में भर सकता है जबकि आउटलेट पाइप 15 h में खाली कर सकता है। यदि सभी पाइप एक साथ खुले छोड़ दिए जाते हैं तो खाली टैंक को भरने में 18 घंटे लगते हैं। X और y के बीच क्या संबंध है?
a) x : y = 1 : 4
b) x : y = 4 : 1
c) x : y = 5 : 4
d) x : y = 4 : 5
7) (31 sin x + 12cos x) का अधिकतम संभव मान क्या है?
a) + 15√5
b) 31
c) – 15√5
d) √43
8) PQRS एक चतुर्भुज है। ABCD के विकर्ण बिंदु A पर स्थित हैं। त्रिकोण PAS और QAR का क्षेत्रफल क्रमशः 9 और 36 है। यदि त्रिकोण PAQ और RAS के क्षेत्रफल समान हैं, तो त्रिभुज PAS का क्षेत्रफल है
a) 18
b) 12
c) 16
d) 10
9) निम्नलिखित में से किस संख्या से 1319 + 1119 विभाज्य होगा?
a) 24
b) 2
c) 3
d) सभी
10) एक चाप द्वारा एक वृत्त के केंद्र पर स्थित डिग्री ज्ञात करें, जिसकी लंबाई त्रिज्या का 19.62 गुना है।
a) 1123.69
b) 1113.5
c) 1125
d) 1024
Answers:
1) उत्तर: d)
हमारे पास है, x2 – 3| x | – 2 |x| + 6 = 0
|x|2 – 3 | x | – 2 | x| + 6 = 0
(|x| – 3) (|x| – 2) = 0
|x| = 3 & | x | = 2
x =± 3 & x = ± 2
2) उत्तर: b)

तुलना द्वारा, P = 1, q = – 5, r = 10
(P + r)r + q = (1 + 10)10 – 5
= (11)5
3) उत्तर: a)
माना कि लाइटहाउस के पैर से नाव की दूरी x मीटर है।

4) उत्तर: b)

व्रत की त्रिज्या = AC = BC
[As, AC = OB = BC = OA =7.25]
त्रिज्या = 7.25 इकाई
5) उत्तर: a)
यह देखते हुए कि, 20 अवलोकनों का औसत = 20 है।
20 अवलोकनों का योग = 20 * 20 = 400
वास्तविक (सही) टिप्पणियों का योग
= 400 – (+ 6 + 12) + (18 + 4) = 400 – 18 + 22 = 404।
सही औसत = 404 / 20 = 20 .2
6) उत्तर: a)
1 इनलेट पाइप का 1 घंटे का काम = 1/10
x इनलेट पाइप का एक घंटे का काम = x / 10
1 आउटलेट पाइप का एक घंटे का काम = 1/15
y आउटलेट पाइप का एक घंटे का काम = y/15
x/10 – y/15 = x – y / 18
(9x – 6y)/90 = 5 (x – y)/ 90
9x – 6y = 5x – 5y
9x – 5x = – 5y + 6y
4x = 1y
x : y = 1 : 4
7) उत्तर: a)
माना y = 31 sin x + 12 cos x
Y max = √312 +122
=+√961+144
= + √1105 = √5×5×5×3×3 = + 5 ×3 √5
= + 15 √5
8) उत्तर: a)
हम जानते हैं कि विकर्णों द्वारा विभाजित क्षेत्र का अनुपात समान है।
9/x = x/36
x2 = 9 * 36
x = 3 * 6 = 18

9) उत्तर: d)
xn + yn द्वारा विभाज्य है (x + y) जहाँ n by विषम संख्याएँ हैं
तो, 1319 + 1119 (13 + 1 a) इसे विभाजित करता है।
24 और उसके कारक भी इसे विभाजित करते हैं, 24, 2, 3 सभी इसे विभाजित करते हैं।
10) उत्तर: a)
कोण में रेडियन की संख्या,
चाप / त्रिज्या = 19.62 r/ r
= 19.620 = 16.62 * 180/π
= 1123.69
Click Here for SSC CGL Online Mock Test

