Dear Aspirants, Here we have given the Important SSC Exam 2019 Practice Test Papers. Candidates those who are preparing for SSC 2019 can practice these questions to get more confidence to Crack SSC 2019 Examination.
[WpProQuiz 5189]
Click Here for SSC CGL Online Mock Test
Click here to View Quantitative Aptitude Questions in English
1) निम्नलिखित में से शेषफल ज्ञात कीजिए?
![]()
a) 2
b) 3
c) 1
d) 0
2) दी गई अभिव्यक्ति की इकाई अंक का मान ज्ञात कीजिए-

a) 1
b) 2
c) 4
d) 0
3) दी गई अभिव्यक्ति का न्यूनतम मूल्य ज्ञात कीजिये?
y =5x2 – 6 x + 7
a) 13/ 5
b) 5/ 13
c) –13 / 5
d) –5 / 13
4) एक चतुर्भुज के चार कोण M, N, O, P 1: 2: 2: 1 के अनुपात में होंगे,तो

का मान ज्ञात करें?
a) 1/√3
b) √3
c) 1/3
d) 3
5) A, B & C का औसत 62, B, C, D & E का औसत 58 हैं । A और D का योग 25 है। फिर A, B, C & D सभी चार पद का सामानांतर माध्य(A.M)का मान ज्ञात कीजिए?
a) 30
b) 60
c) 50
d) 40
6) एक चुनाव में 3 प्रतियोगी थे। इस चुनाव में 10% लोगों ने अपनी कुल संख्या के पंजीकृत मतों का मतदान नहीं किया। 10% वोट को अवैध घोषित किया गया। विनर, रनर और सेकेंड रनर के लिए वोट का अनुपात 4: 3: 2 है और विनर 18000 वोट से जीता। फिर मतदाताओं की कुल संख्या का पता लगाएं जो रनर है?
a) 27000
b) 36000
c) 42000
d) ज्ञात नहीं किया जा सकता
7) खिलौने का कुल सतह क्षेत्र जो शंकु के आकार का है, 15400 (√3 + 1) सेमी2 है. त्रिज्या, तिरछी ऊंचाई के 2√3 गुना है |इसकी वक्र सतह का क्षेत्रफल ज्ञात करें?
a) 14000
b) 12600
c) 18900
d) 15400√3
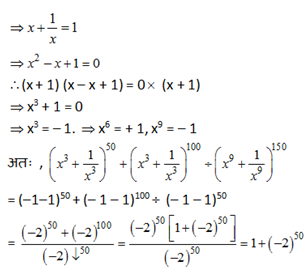
8)

a) 1 – (–2)50
b) 1 + (–2)50
c) 1 + (2)50
d) 1 – (2)50
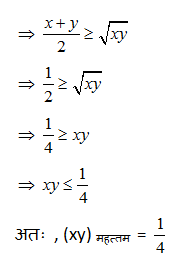
9) यदि x + y = 1, तब xy का महत्तम मान ज्ञात करें?
a) ½
b) ¼
c) 1
d) ∞
10) एक ∆ का क्षेत्रफल ज्ञात करें जिसका आधार 60 सेमी और एक दूसरा भुजा 42 सेमी है और तीसरी भुजा sin 15° का 6√2 गुना है?
a) 3(33 + √3) cm
b) 6 (33 + √5) cm
c) 3(33 + √3) cm
d) इनमे से कोई नहीं
Answers :
1) उत्तर: a)

2) उत्तर: d)

3) उत्तर: a)

4) उत्तर: a)
X+ 2x + 2x + x = 360
6x = 3600
X = 600
Angles of M, N, O, P = 60, 120, 120, 60

5) उत्तर: c)

6) उत्तर: a)
माना , कुल पंजीकृत वोट = 100%
कुल मतदान हुआ = 90%
अमान्य वोट = कुल मतदान का 10%.
= (90×10)/100%
अतः , वैध मत = 90% – 9% = 81%
विजेता, रनर और सेकेंड रनर के रूप में तीन प्रतियोगी हैं और उनके मतों का अनुपात है 4x + 3x + 2x =9x = 81%]
X = 9%
विजेता को मिलता है 4 = 4 × 9 = 36%
रनर को मिलता है 3 = 3 × 9 = 27 %
2ndरनर को मिलता है 2 = 2 × 9 = 18%
प्रश्न के अनुसार,
2nd रनर 18000 वोट से जीतता है
(36% – 18%) 18% = 18,000
1 % = 1000
अतः रनर को मिलता है = 27% = 27× 1000 = 27000
7) उत्तर: d)

8) उत्तर: b)

9) उत्तर: b)

10) उत्तर: a)

*********************************
Click Here for SSC CGL Online Mock Test
Click here for previous Quizzes
SSC CGL EXAMS 2019 | Reasoning Questions Hindi (Day-24)
SSC CGL EXAMS 2019 | Reasoning Questions Hindi (Day-23)
SSC CGL EXAMS 2019 | Reasoning Questions Hindi (Day-22)

