Dear Aspirants, Our IBPS Guide team is providing new series of Quantitative Aptitude Questions for RRB PO 2020 Prelims so the aspirants can practice it on a daily basis. These questions are framed by our skilled experts after understanding your needs thoroughly. Aspirants can practice these new series questions daily to familiarize with the exact exam pattern and make your preparation effective.
Direction (1-5): What should come in the place of question mark in the following number series?Â
1) 3, 10, 32, 111, 460, ?
A) 2215
B) 2320
C) 2310
D) 2314
E) 2315
2) 40, 48, 60, 78, ? , 147.42
A) 105.5
B) 106.5
C) 105.3
D) 106.3
E) 112.3
3) 16, 19, 24, 33, 50, ?
A) 83
B) 99
C) 66
D) 77
E) 102
4) 58, 128, 260, 442, 714, ?
A) 1129
B) 1135
C) 1056
D) 1133
E) 1115
5) Â 999, 1647, 2457, 3429, 4563, ?
A) 5868
B) 5879
C) 5869
D) 5881
E) 5859
Quadratic Equation
Direction (6-10): Following question contains two equations as I and II. You have to solve both equations and determine the relationship between them
6)

A) X > Y
B) X ≤ Y
C) Relationship between X and Y can’t be established
D) X ≥ Y
E) X < Y
7)
I) 7X2– 35√3X+126 = 0
II) 9Y2 – 27√3Y-270= 0
A) X > Y
B) X ≤ Y
C) Relationship between X and Y can’t be established
D) X ≥ Y
E) X < Y
8)

A) X > Y
B) X ≤ Y
C) Relationship between X and Y can’t be established
D) X ≥ Y
E) X < Y
9)
I) 55X2Â – 32X – 63 = 0
II) 33Y2– 49Y + 18 = 0
A) X > Y
B) X ≤ Y
C) Relationship between X and Y can’t be established
D) X ≥ Y
E) X < Y
10)
I) 2x2Â – 25x+ 75 =0
II) 4y2Â + 12y = 91
A) X > Y
B) X ≤ Y
C) Relationship between X and Y can’t be established
D) X ≥ Y
E) X < Y
Answers :
Directions (1-5) :
1) Answer: E
3 x 1 + (1 x 7) = 10
10 x 2 + (2 x 6) = 32
32 x 3 + (3 x 5) = 111
111 x 4 + (4 x 4) = 460
460 x 5 + (5 x 3) =Â 2315
2) Answer: C
40 x 1.2 = 48
48 x 1.25 = 60
60 x 1.3 = 78
78 x 1.35 =Â 105.3
105.3 x 1.4 = 147.42
3) Answer: A
16 + (21Â + 1) = 19
19 + (22Â + 1) = 24
24 + (23Â + 1) = 33
33 + (24Â + 1) = 50
50 + (25Â + 1) =Â 83
4) Answer: C
58 + 7 x 10 = 128
128 + 11 x 12 = 260
260 + 13 x 14 = 442
442 + 17 x 16= 714
714 + 19 x 18 =Â 1056
5) Answer: E
123 – 93 = 999
153Â – 123Â = 1647
183Â – 153Â = 2457
213Â – 183Â = 3429
243Â – 213Â = 4563
273Â – 243Â = 5859
Directions (6-10) :
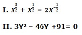
6) Answer: E
![]()
Multiply both the sides with
X2+X = 2
X2+X– 2 = 0
X (X +2) – 1(X+2) = 0
(X-1) (X+2) = 0
X = +1, -2
II. 3Y2– 46Y +91= 0
3Y2 – 39Y -7Y + 91= 0
3Y (Y – 13) – 7 (Y – 13) = 0
(3Y -7) (Y-13) = 0
Y = 7/3 , 13
Hence, X < Y.
7) Answer: C
I) 7X2– 35√3X+126= 0
X2 – 5√3X+18 = 0
X2 – 2√3X-3√3X+18 = 0
(X- 2√3) (X – 3√3) = 0
X = 2√3, 3√3
II) 9Y2 – 27√3Y-270= 0
Y2 – 3√3Y-30 = 0
Y2 – 5√3Y+2√3Y-30 = 0
(Y+2√3) (Y – 5√3) = 0
Y = -2√3, +5√3
Hence, no relation between X and Y.
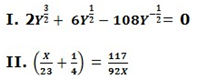
8) Answer: C
2Y2Â + 6Y – 108 = 0
Y2Â + 3Y – 54 = 0
Y2Â + 9Y –Â 6Y- 54 = 0
Y (Y+9) – 6 (Y+9) = 0
(Y + 9) (Y – 6) = 0
Y = +6, -9

4X2+ 23X – 117 = 0
4X2+ 36X – 13X -117 = 0
4X(X+9) – 13(X+9) = 0
(X+9) (4X -13) = 0
X = -9, 13/4
Hence, No relation between X and Y.
9) Answer: C
I) 55X2Â – 32X – 63 = 0
55X2Â – 77X +45X – 63 = 0
11X (5X – 7) + 9 (5X -7) = 0
(5X -7) (11X +9) = 0
X= 7/5, -9/11
II) 33Y2– 49Y + 18 = 0
33Y2 – 22Y -27Y + 18 = 0
11Y (3Y -2) – 9(3Y-2) = 0
(3Y-2) (11Y-9) = 0
Y = 2/3, 9/11
Hence, No relation between X and Y.
10) Answer: A
I) 2x2Â – 25x + 75=0
2x2Â – 10x -15x + 75 = 0
2x (x – 5) – 15 (x – 5) = 0
(x -5) (2x – 15) = 0
X = 15/2 ,5
II) 4y2Â + 12y = 91
4y2 + 12y – 91 = 0
4y2 -14y +26y – 91 = 0
2y (2y -7) + 13 (2y -7) = 0
(2y +13) (2y -7) = 0

Hence, X > Y.
| Check Here to View RRB PO Prelims 2020 Quantitative Aptitude Questions | ||
| Day – 04 | Day – 03 | Day – 02 |
| Click Here for SBI Clerk 2020 – Detailed Exam Notification | ||

