Dear Aspirants, Here we have given the Important SSC Exam 2018 Practice Test Papers. Candidates those who are preparing for SSC 2018 can practice these questions to get more confidence to Crack SSC 2018 Examination.
[WpProQuiz 4377]Click here to view Quantitative Aptitude Questions in English
01) 40 पारियों के लिए बल्लेबाज का औसत 50 रन है। उनका सर्वोच्च स्कोर 172 रनों से अपने सबसे कम स्कोर से अधिक है। यदि इन दो पारियों को बाहर रखा गया है, तो उनकी औसत 2 रनों से गिर जाती है। उसका उच्च स्कोर ज्ञात कीजिए
a) 172
b) 173
c) 174
d) 175
02) एक बटलर शेरी के एक बट से शराब भंडारित करता है जिसमें 30% स्पिरिट होती है और उसने चोरी की गई शराब द्वारा चीज़ों को प्रतिस्थापित किया जिसमें केवल 12% स्पिरिट होती है। बट तब केवल 18% मजबूत था। उसने कितने बट चुरा लिए?
a) 1/3
b) 2/5
c) 2/3
d) 4/7
03) मदन 10% की दर से आय कर चुकाता है। अगर उनकी आय में 10% की वृद्धि हुई है और उनकी कर दर 15% तक बढ़ जाती है। उनकी शुद्ध आय में 350 रुपये की बढ़ोतरी होगी। मदन की आय क्या है?
a) 8, 000 रुपए
b) 10, 000 रुपए
c) 12, 000 रुपए
d) 14, 000 रुपए
04) एक दुकानदार 50 कलम के पैकेट को 10 रुपये प्रति पेन पर खरीदता है। वह 30% के लाभ पर पैकेट का एक हिस्सा बेचता है। शेष भाग पर, उसे 10% की हानि होती है। यदि उसका पूरा पैकेट पर कुल लाभ 10% है, तो लाभ पर बेचे गए पेन की संख्या क्या है:
a) 25
b) 30
c) 20
d) 15
05) एक 4% पर और दूसरा 4.5% पर दो समान राशि का निवेश किया गया था, ।7 वर्षों के अंत में, उत्तरार्द्ध से प्राप्त साधारण ब्याज पूर्व से प्राप्त रुपए से 31.50 रुपये से अधिक हो गया। प्रत्येक का योग क्या था
a) 1200 रुपए
b) 600 रुपए
c) 750 रुपए
d) 900 रुपए
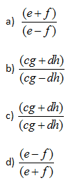
06) यदि a : b = c : d और e : f = g : h, तब (ae = bf) : (ae – bf) = ?

07)3 सेमी व्यास के 4 पाइप को एक ही पाइप द्वारा प्रतिस्थापित किया जाना चाहिए जो पानी की सामान मात्रा को निष्काषित करता है। यदि पानी की गति एक जैसी है, तो एकल पाइप का व्यास क्या होना चाहिए।
a) 2 सेमी
b) 4 सेमी
c) 6 सेमी
d) 8 सेमी
08) 50 किमी/घंटा की दर से यात्रा करने वाली ट्रेन में बैठे एक आदमी ने देखा कि उसे पास करने के लिए विपरीत दिशा से आते हुए माल गाड़ी के लिए 9 सेकंड लगते हैं। यदि माल गाडी 187.5 मीटर लंबी है, तो इसकी गति ज्ञात कीजिए।
a) 40 किमी/घंटा
b) 25 किमी/घंटा
c) 35 किमी/घंटा
d) 36 किमी/घंटा
9) यदि a + b = 1, तब a4 + b4 – a³ – b³ – 2a²b² + ab बराबर है
a ) 1
b) 2
c) 0
d) 4
10) यदि
एक पूर्ण वर्ग है जहाँ a और b धनात्मक वास्तविक संख्या हैं तब a और b का मान क्या है
a) a = 5, b = 6
b) a = 6, b = 7
c) a = 7, b = 7
d) a = 7, b = 8
11)

a) √29
b) 2√29
c) – √29
d) √27
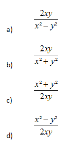
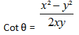
12) यदि cos θ = (X2 – Y2)/(x2 + y2) तो cot θ का मान बराबर है [यदि 0 <θ< 90º]
13) यदि x = cosecθ – sinθ और y = secθ –cosθ, तो एक्स और वाई के बीच संबंध है
a) x² + y² + 3 = 1
b) x²y²(x²+y²+3) = 1
c) x²(x² + y² – 5) = 1
d) y²(x² + y² – 5) = 1
14) P के मानों का सेट जिसके लिए समीकरण 3x² + 2x + p (p -1) = 0 के हल/ मूलों में विपरीत चिन्ह हैं

15) निम्नलिखित रेखा के लंबवत रेखा का नत (झुकाव) क्या होगा?


Answers :
1) उत्तर: c)
कुल रन = 40 × 50 = 2000
माना की उसका उच्चतम स्कोर x होना चाहिए
फिर उसका सबसे निम्न स्कोर = x – 172

2) उत्तर: c)
मिश्रण के नियम के अनुसार, हम पाते हैं कि शराब का 30% स्पिरिट और शराब जिसमें स्पिरिट का भाग 12% होता है उसे अनुपात 1:2 में मिश्रित किया जाना चाहिए जिसमें 18% स्पिरिट होती है।
अनुपात = 6:12 = 1:2
इसका मतलब है कि शेरी के बट का तीसरा भाग छोड़ दिया गया था,यानी कहने के लिए,बटलर ने बट के बाहर दो तिहाई हिस्सा खींचा.बट का दो तिहाई हिस्सा चोरी हो गया था।
3) उत्तर: b)
माना की मदन की आय x रुपये है
तब,शुद्ध आय = x का (100 –10)%

4) उत्तर: c)

5) उत्तर: d)

6) उत्तर: b)
एक दूसरे के स्वतंत्र रूप से a, b, c, dऔर e, f, g औरh के मूल्यों को ले कर हल करें।
a = 1, b = 2, c = 3, d = 6
औरe = 3, f = 9, g = 4
और h = 12
(ae + bf) : (ae – bf) देता है = 21 : -15 = -7/5
विकल्प (b) (cg + dh)/(cg – dh) = 84/60 = -7/5
7) उत्तर: c)
1 घंटा या 1 मिनट में छोड़े गए पानी के कॉलम की लंबाई h माना
4 पाइपों द्वारा निष्काषितपानी का आयतन
= एकल पाइप द्वारा निष्काषितपानी का आयतन
= 4 × π × (1.5)² × h = π × (r)² × h
∴ r² = 9
r = 3,व्यास= 6 सेमी
8) उत्तर: b)

9) उत्तर: c)
यदि a + b = 1
a4 + b4 – a³ – b³ – 2a²b² + ab
(a + b) = 1
(a + b)³= 1
a³ + b³ +3ab(a + b) = 1
a³ + b³ + 3ab = 1
-a³ – b³ = -1 + 3ab
a4 + b4 – 2a² b² – a³ – b³ + ab
(a² – b²)² – 1 + 3ab + ab
![]()
(a – b)² – 1 + 4ab
a²+ b² – 2ab + 4ab – 1
(a²b² + 2ab) – 1 = (a + b)² – 1 = 1 – 1 = 0
10) उत्तर: b)
x = 1 रखने पर
= 1 + 2 × 1 + a + b + 9
= 1 + 2 + a + b + 9
= 13 + a + b
पूर्ण वर्ग संख्या बनाने के लिए, a+b का मान या तो 3 या 13 होना चाहिए
अब, विकल्प (b) a = 6, b = 7,
a+ b = 12
पूर्ण वर्ग बनाता है (25 =5²)
11) उत्तर: a)
a² – 5a = 1
a² – 1 = 5a,a से भाग देने पर

12) उत्तर: d
cos θ = (X2 – Y2)/(x2 + y2)
AC² = (x² + y²)² = (x² – y²)²
= x4 + y4 + 2x²y² – x4 – y4 + 2x²y²
= 4x²y²

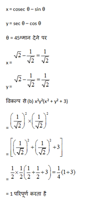
13) उत्तर: b)
14) उत्तर:b)
p(p – 1)/3 < 0 (मूलों का उत्पाद नकारात्मक होना चाहिए)
–> p(p – 1) < 0
p² – p < 0
यह 0 < p < 1 इसके लिए होगा
15) उत्तर: d)

*****************************


