Dear Aspirants, Here we have given the Important SSC Exam 2018 Practice Test Papers. Candidates those who are preparing for SSC 2018 can practice these questions to get more confidence to Crack SSC 2018 Examination.
[WpProQuiz 4568]Click here to view Quantitative Aptitude Questions in English
1) 800 रुपये साधारण ब्याज की एक निश्चित दर पर 3 वर्ष में 956 रुपये हो जाते हैं। यदि ब्याज की दर में4% की वृद्धि हुई है,तो 800 रुपये की राशि 3 वर्ष में कितनी हो जाएगी?
a) रुपये1010
b) रुपये 1020
c) रुपये1052
d) आंकड़े अपर्याप्त
2) 20000 रुपये की राशि पर 5 % की वार्षिक चक्रवृद्धि ब्याज की दर से 50 रुपये हो जाते हैं. अवधि (वर्षों में) है:
a) 1
b) 21/2
c) 3
d) इनमे से कोई नहीं
3)
![]()
a) (x2 + z2) (y2 + w2)
b) x2y2 + z2 w2
c) x2 w2 + y2 z2
d) (x2 + w2) (y2 + z2)
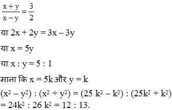
4) यदि (x + y): (x–y) = 3 : 2,
फिर (x2 – y2): (x2 + y2) = ?
a) 12 : 11
b) 12 : 13
c) 11 : 13
d) 10 : 13
05) एक बैग में 1 रुपये, 50 पैसे, 25 पैसे सिक्के 1: 2: 4 के अनुपात में होते हैं। अगर कुल मिलाकर 30 रुपये हैं, तो 1 रुपये के कितने सिक्के हैं?
1) 10
2) 20
3) 5
4) 15
06) 864 रुपये को A, B और C के बीच विभाजित है जैसे कि 8 गुणा A का हिस्सा 12 गुना B के बराबर है और 6 गुणा C के बराबर है। B को कितना मिला?
a) रुपये 399
b) रुपये 192
c) रुपये 288
d) रुपये 72
07) दो पाइप, P और Q क्रमशः 12 और 15 मिनट में एक हौज को भर सकते हैं। यदि दोनों एक साथ खोले जाते हैं और 3 मिनट के अंत में, पहला बंद हो जाता है, तो भरने के लिए कितना समय लगेगा?

08) मधु ने नीलम से बॉम्बे से पुणे जाने के लिए आधा समय लिया। नीलम उसी यात्रा के लिए 20 घंटे लेते हैं। मधु की गति 20 किमी प्रति घंटे है तो नीलम की गति क्या है?
a) 20 किमी/घंटा
b) 10 किमी/घंटा
c) 15 किमी/घंटा
d) इनमे से कोई नहीं
09) ट्रिशा 10 किमी प्रति घंटे कार्यालय जाती है और 2 मिनट देर से कार्यालय तक पहुंच जाती है। यदि वह 15 किमी प्रति घंटे की दूरी से जाती है तो वह नियमित समय से 2 मिनट पहले कार्यालय तक पहुंच जाती है।उसके कार्यालय की दूरी क्या है
a) 3 किमी
b) 2 किमी
c) 4 किमी
d) 2.5 किमी
10) एक कर्मचारी अपने कारखाने तक कारखाने तक अपनी गति से 3 मिनट देर से अपने फैक्ट्री तक पहुंचता है, यह 5 किमी प्रति घंटे है। अगर वह 6 किमी प्रति घंटे की गति से चलता है, तो वह 7 मिनट पहले फैक्ट्री तक पहुंचता है। अपने घर से फैक्ट्री की दूरी है:
a) 3 किमी
b) 4 किमी
c) 5 किमी
d) 6 किमी
11) एक आदमी 12 किमी नदी के धारा के विपरीत और 18 किमी धारा की ओर 3 घंटों में जाता है है, जबकि वह 36 किमी नदी धारा के विपरीत और 24 किमी धारा की ओर 6.5 घंटा में जाता है। धारा की गति (किमी/घंटा में) क्या है:
a) 1
b) 1.5
c) 2
d) 2.5
12) जल के धारा की गति और नाव की गति का अनुपात 36:5 है,नाव 5 घंटे 10 मिनट में धारा के साथ जाता है। यह वापस आ जाएगा:
a) 5 घंटा 20 मिनट
b) 6 घंटा 10 मिनट
c) 6 घंटा 50 मिनट
d) 7 घंटा 10 मिनट
13) AB14 सेमी त्रिज्या के एक वृत्त का कोर्ड है। कोर्ड सर्कल के केंद्र में समकोण बनाता है। छोटे वृत्त खंड का क्षेत्रफल ज्ञात कीजिये।
a) 98 वर्ग सेमी
b) 56 वर्ग सेमी
c) 112 वर्ग सेमी
d) इनमें से कोई नहीं
14) एक शंकु और गोलार्द्ध के बराबर आधार और बराबर आयतन है। उनके ऊंचाइयों का अनुपात ज्ञात कीजिये।
a) 1 : 2
b) 2 : 1
c) 3 : 1
d) इनमे से कोई नहीं
15) चतुर्भुज ABCD का क्षेत्रफल ज्ञात कीजिये।

a) 452 वर्ग इकाई
b) 269 वर्ग इकाई
c) 134.5 वर्ग इकाई
d) 1445 वर्ग इकाई
Answers :
1) उत्तर: (c)

2) उत्तर: (c)

3) उत्तर: (a)

4) उत्तर: (b)

5) उत्तर: (a)
माना की 1 रुपये, 50 पैसे, 25 पैसे सिक्केx, 2x, 4x हैं।
सभी सिक्के का कुल मूल्य = 1 x + 0.50 2x + 0.25 4x = 3x
या 3x = 30
इस प्रकार, x = 10.
6) उत्तर: (b)

7) उत्तर: (c)

8) उत्तर: (b)
मधु : नीलम
समय 1 : 2
गति 2 : 1
इसलिए नीलम की गति = 20/2 = 10 किमी प्रति घंटे
9) उत्तर: (b)

10) उत्तर: (c)

11) उत्तर: (c)
माना की नाव की गति और धारा की गतिक्रमश: x किमी प्रति घंटे और y किमी प्रति घंटे है
प्रश्न के अनुसार

12) उत्तर: (c)
माना की नाव और धारा की गति क्रमशः 36v और 5v (किमी प्रति मिनट में) है।
नाव द्वारा धरा के साथ तय की गई कुल दूरी= 41v 310 किमी
नाव को वापस आने के लिए टt मिनट लगते हैं,
फिर
41v 310 = (36v –5v)t
t = 410 मिनट = 6 घंटा 50 मिनट
13) उत्तर: (b)

14) उत्तर: (b)

15) उत्तर: (b)

*****************************
Click here for More Quizzes
SSC CGL EXAMS 2018 | Quantitative Aptitude Questions Hindi (Day-11)
SSC CGL EXAMS 2018 | Quantitative Aptitude Questions Hindi (Day-10)
SSC CGL EXAMS 2018 | Quantitative Aptitude Questions Hindi (Day-9)

