Dear Aspirants, Here we have given the Important SSC Exam 2019 Practice Test Papers. Candidates those who are preparing for SSC 2019 can practice these questions to get more confidence to Crack SSC 2019 Examination.
[WpProQuiz 4825]
Click Here for SSC CGL Online Mock Test
Click here to view Quantitative Aptitude Questions in English
1) (623×824×525×226×127) को निम्नलिखित में से कौन सी संख्या पूरी तरह से विभाजित करेगी?
a) 7
b) 10
c) 9
d) 11
2) किसी संख्या का दो बटा पाचवाँ(2/5) हिस्सा उसके एक तिहाई से 11 अधिक है|संख्या ज्ञात कीजिए
a) 164
b) 165
d) 200
c) इनमे से कोई नहीं
3) 70 और 100 के बीच सभी विषम संख्याओं का योग जो 9 से विभाज्य है —
a) 160
b) 170
c) 252
d) इनमे से कोई नहीं
4) राहुल ने अंकित मूल्य पर 12.5% की छूट पर एक उपहार खरीदा और उन्होंने इसे चिह्नित मूल्य पर 10% की छूट पर रघु को बेच दिया| यदि रघु ने उपहार के लिए 900 रुपये का भुगतान किया तो राहुल द्वारा प्राप्त किया गया % लाभ क्या हैं?
a) 2%
b) 20%
c) 28.5%
d) 2.85%
5) 216 किमी / घंटा की गति से चलने वाली 235 मीटर लंबी ट्रेन पूरी तरह से एक ही दिशा में चलने वाली 115 मीटर लंबी ट्रेन को 10 सेकंड में पार करती है | दूसरी ट्रेन की गति ___ है:
a) 25 मी/से.
b) 20 मी/से.
c) 10 मी/से.
d) 15 मी/से.
6) y = sin12x + cos12x का न्यूनतम मान ज्ञात कीजिए?
a) 1/64
b) 1/32
c) 1/16
d) 1
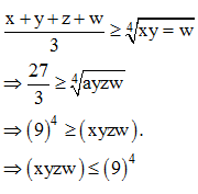
7) xyzw का महत्तम मान ज्ञात करें , जहाँ x + y + z + w =27
a) 94
b) 49
c) 27
d) 9
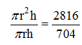
8) एक बेलनाकार स्तंभ का पृष्ठ सतह का क्षेत्रफल 704 सेमी2 है और इसकी आयतन 2816 सेमी3 है। इसके आधार के व्यास और इसकी ऊँचाई का अनुपात ज्ञात कीजिए।
a) 7 : 8
b) 8 : 7
c) 16 : 14
d) इनमे से कोई नहीं
9) P, Q, R और S क्रमशः 10 दिनों, 20 दिनों, 25 दिनों और 50 दिनों में एक कार्य / नौकरी को पूरा करते हैं।P & Q काम शुरू करते हैं और एक दिन के लिए ही काम करते हैं, और फिर Q ने नौकरी छोड़ दी, और उसकी जगह R & S ने उसी नौकरी के लिए शामिल किया लेकिन 2 दिन बाद P ने भी नौकरी छोड़ दी| शेष कार्य R & S द्वारा R से शुरू होने वाले वैकल्पिक दिन की शर्तों पर ही किया जाएगा | कितने दिनों में काम पूरा होगा?
a) 20
b) 20 ½
b) 16
d) 11.83
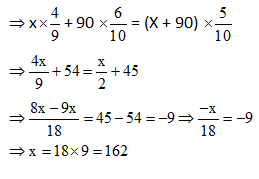
10) 4: 5 के अनुपात में दूध और पानी के कितने लीटर 50% दूध का घोल पाने के लिए 90 लीटर 60% दूध के घोल में मिलाया जाना चाहिए?
a) 160
b) 140
c) 162
d) 100
Answers :
1) उत्तर: b)
623×824×525×226×127
उपरोक्त संख्याओं की इकाई अंकों के गुणज द्वारा
3×4×5×6×7=20 (अंतिम दो अंक)
गुणनफल 10 से विभाज्य होगा
2) उत्तर: b)

3) उत्तर: d)
70 से 100 के बीच विषम संख्याएँ जो 9 से विभाज्य हैं केवल 81&99
योग = 81 + 99 = 180
4) उत्तर : d)
माना की उपहार की अंकित कीमत x है।
रघु 900 के लिए उपहार खरीदता है, जो कि अंकित मूल्य पर 10% छूट देने के बाद की कीमत है
0.9x = 900
x = Rs.1000
जैसा कि राहुल ने 12.5% की छूट पर उपहार खरीदी, फिर राहुल द्वारा भुगतान की गई राशि
= 1000 87.5% = 875 *1000/10 * 100 = Rs. 875
राहुल द्वारा प्राप्त किया गया % लाभ = रुपये 900 –रुपये 875 = रुपये 25
Profit % = 25*100/875 = 2.85%
5) उत्तर: a)
पहली ट्रेन की गति = 216 किमी / घंटा 54 * 5 / 18 = 60 मी / से
माना की दूसरे ट्रेन की गति x (मी/से) है
(60 – x)*10 = 235 + 115 = 350
60 – x = 350/10 = 35
x = 25 मी/से.
6) उत्तर: b)
Y = sin12 x + cos12x के न्यूनतम मूल्य के लिए यहाँ x = 45o
अतः, (sin450)12 + (cos45o)12
= (1/√2)12 + (1/√2)12 [sin 450 = 1/√2, cos 450= 1/√2]
= 1/64 + 1/64 = 2/ 64 = 1/32
7) उत्तर: a)
अंकगणितीय माध्य ज्यामितीय माध्य के गुण के प्रयोग से;
अंकगणितीय माध्य – ज्यामितीय माध्य असमानता बताती है कि अंकगणितीय माध्य का गैर-ऋणात्मक वास्तविक संख्याओं की सूची, समान सूची के ज्यामितीय माध्य से अधिक या बराबर होता है।

8) उत्तर: b)
r और h (सेमी में) क्रमशः आधार की त्रिज्या और स्तंभ की ऊंचाई हो तो ,

त्रिज्या = 8 cm
व्यास = 2r = 2 * 8 = 16 cm
πrh = 22/7 * 8 * h = 704
ऊंचाई = 28cm
त्रिज्या : व्यास = 16 : 14 = 8 : 7
9) उत्तर: b)

प्रश्न के अनुसार 1दिन में P & Q के द्वारा किया गया कार्य = 10U+ 5U = 15U.
2 दिनों में P, R&S द्वारा किया गया कार्य = 2 (10 + 4 + 2) इकाई = 2 * 16 units = 32 units
3 दिनों का कुल कार्य = 15 इकाई + 32 इकाई = 47 इकाई
शेष काम = 100 इकाई – 47 इकाई = 53 इकाई
प्रश्न के अनुसार ,शेष कार्य R&S द्वारा वैकल्पिक दिन पर किया जाएगा,
अतः , 1 दिन का R का काम = 4 इकाई .
& 1 दिन का S का काम = 2 इकाई
2 दिनों में R & S 6 इकाई काम पूरा करता है.
2 दिन 6 इकाई
2 दिन 6 इकाई….. और इसी तरह……
R & S द्वारा कुल 16 दिन का काम = 6 8 = 48 इकाई
शेष = 53 इकाई – 48 इकाई = 5 इकाई R द्वारा एक दिन में 4 इकाई काम किया गया + S द्वारा ½ दिन में 1 इकाई काम किया गया
कुल दिन = 1 + 2 + 16 + 1 + ½ = 20 ½ दिन
10) उत्तर: c)
माना की x (लीटर में ) 4: 5 दूध के घोल को 90 लीटर 60% दूध के घोल में मिलाया जाता है।
पहले की दूध की मात्रा = बाद की दूध की मात्रा

Click Here for SSC CGL Online Mock Test
*****************************
Click here for More Quizzes
SSC CGL EXAMS 2019 | Quantitative Aptitude Questions Hindi (Day-18)
SSC CGL EXAMS 2019 | Quantitative Aptitude Questions Hindi (Day-17)
SSC CGL EXAMS 2019 | Quantitative Aptitude Questions Hindi (Day-15)

